Resource

Id: TF_ChIP-seq/ENCSR375VXU
Type: position_score
Version: 0
Summary:
Description:
Labels:
  • reference_genome: hg38/genomes/GRCh38-hg38
  • accession: ENCSR375VXU
  • status: released
  • assay_term_name: ChIP-seq
  • simple_biosample_summary: female adult (53 years)
  • biosample_summary: Homo sapiens Peyer's patch tissue female adult (53 years)
  • replication_type: unreplicated
  • biosample_ontology: /biosample-types/tissue_UBERON_0001211/
  • perturbed: False
  • doi: 10.17989/ENCSR375VXU
  • date_created: 2017-01-26T00:11:47.287168+00:00
  • date_released: 2017-01-30
  • submitter_comment: This experiment was mislabeled as a sample originating from a male donor. It was initially analyzed using a matched male input control when in fact it is a sample from a female donor (ENCDO793LXB). Those files have been revoked and it has been re-processed and updated with new files.
  • target: CTCF

Scores

ID Type Default annotation Description Histogram Range
TF_ChIP-seq_ENCSR375VXU float

TF_ChIP-seq_ENCSR375VXU

TF_ChIP-seq ENCSR375VXU [biosample_summary="Homo sapiens Peyer''s patch tissue female adult (53 years)" and target="CTCF"]
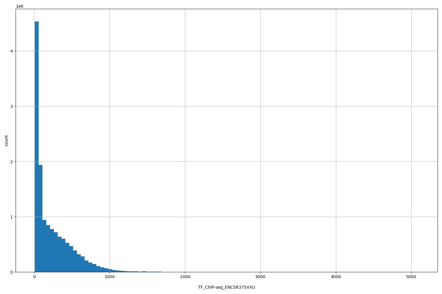
HISTOGRAM FOR TF_ChIP-seq_ENCSR375VXU [6.89, 5.09e+03]

Files

Filename Size md5
ENCFF013GUN.bed.gz 795.33 KB f5e397afb87914e89a99b6df1623d3b0
ENCFF013GUN.bed.gz.dvc 100.0 B 7de1a007b14e95305d54164296d7b8c6
ENCFF013GUN.tabix.bed.gz 564.08 KB f69931d25288fdded1b2488364f90ea7
ENCFF013GUN.tabix.bed.gz.dvc 106.0 B ac91cd27dbb417e3f329094be57fae1d
ENCFF013GUN.tabix.bed.gz.tbi 278.31 KB 841d985ac4122deaebbd3bbeb349d50e
ENCFF013GUN.tabix.bed.gz.tbi.dvc 110.0 B 6bfda8ec84a3324ee2c9585058026c5a
genomic_resource.yaml 1.99 KB fe88ea12549b928751033b5f8ce8f705
genomic_resource_original.yaml 1.86 KB daae5e3d0def77944dea25255667e455
statistics/