| Id: | TF_ChIP-seq/ENCSR265PFQ |
| Type: | position_score |
| Version: | 0 |
| Summary: |
TFChIP-seq ENCSR265PFQ [biosamplesummary="Homo sapiens body of pancreas tissue male adult (54 years)" and target="CTCF"] |
| Description: |
status: released biological_replicates: Rep 1 summary: male adult (54 years) output_type: pseudoreplicated IDR thresholded peaks audit_internal_action: Archived analysis {ENCAN668FXY|/analyses/ENCAN668FXY/} has in progress subobject quality standard {encode3-tf-chip|/quality-standards/encode3-tf-chip/} audit_internal_action: File {ENCFF153EBU|/files/ENCFF153EBU/} with status 'released' is derived from file {ENCFF419RSJ|/files/ENCFF419RSJ/} with status 'archived'. |
| Labels: |
|
| ID | Type | Default annotation | Description | Histogram | Range |
|---|---|---|---|---|---|
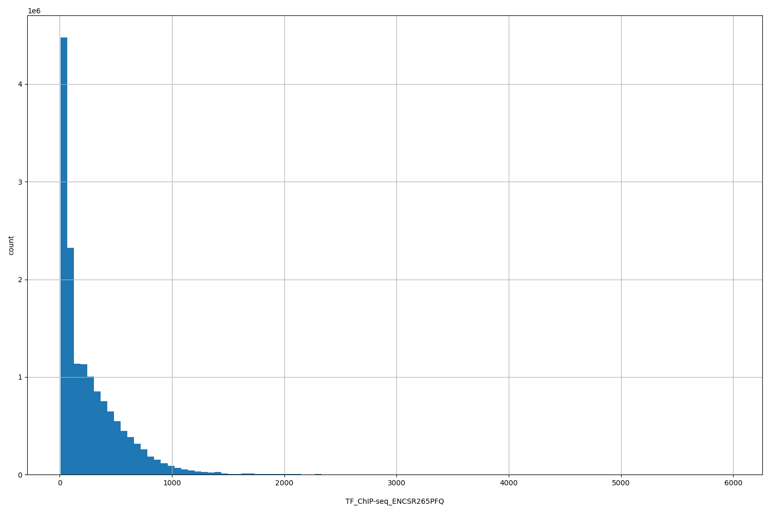
| TF_ChIP-seq_ENCSR265PFQ | float |
TF_ChIP-seq_ENCSR265PFQ |
TF_ChIP-seq ENCSR265PFQ [biosample_summary="Homo sapiens body of pancreas tissue male adult (54 years)" and target="CTCF"]
|
![]() |
[7.97, 5.96e+03] |
| Filename | Size | md5 |
|---|---|---|
| ENCFF153EBU.bed.gz | 747.02 KB | 12a5fb124bd3a5656a1988de790e7ec8 |
| ENCFF153EBU.bed.gz.dvc | 100.0 B | 13bcedc2db2c9df24af2e8b746c057f4 |
| ENCFF153EBU.tabix.bed.gz | 533.16 KB | f27bc9300baf14df34cf4531a1021223 |
| ENCFF153EBU.tabix.bed.gz.dvc | 106.0 B | 8056df1d81522fa10289c8a62f85c466 |
| ENCFF153EBU.tabix.bed.gz.tbi | 268.13 KB | 8931de7a33109a34aeb4af188d1fc783 |
| ENCFF153EBU.tabix.bed.gz.tbi.dvc | 110.0 B | 4611cbbd49894fdcc58d2d3e897e611b |
| genomic_resource.yaml | 1.68 KB | 3a8e74e53b13a102011c5a0254426594 |
| genomic_resource_original.yaml | 1.55 KB | 9f3af7e6ad0b401afbfea7676ffb5989 |
| statistics/ |