Back to main page

Resource

Id DNase-seq/ENCSR959ZXU
Type position_score
Version 0
Summary
Description
Labels
  • reference_genome: hg38/genomes/GRCh38-hg38
  • accession: ENCSR959ZXU
  • status: released
  • assay_term_name: DNase-seq
  • simple_biosample_summary:
  • biosample_summary: Homo sapiens HeLa-S3
  • replication_type: isogenic
  • biosample_ontology: /biosample-types/cell_line_EFO_0002791/
  • perturbed: False
  • doi: 10.17989/ENCSR959ZXU
  • date_created: 2014-06-20T22:06:05.960611+00:00
  • date_released: 2015-08-18
  • submitter_comment:

Scores

ID Type Default annotation Description Histogram Range
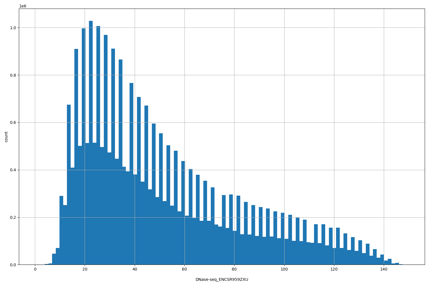
DNase-seq_ENCSR959ZXU float

DNase-seq_ENCSR959ZXU

DNase-seq ENCSR959ZXU [biosample_summary="Homo sapiens HeLa-S3"]
HISTOGRAM FOR DNase-seq_ENCSR959ZXU [1, 149]

Files

Filename Size md5
ENCFF346KEV.bed.gz 1.67 MB 805dc03a487a3fa376af4665e29a3ea8
ENCFF346KEV.bed.gz.dvc 101.0 B 4d09567ec238dbd36a497d8470f27915
ENCFF346KEV.tabix.bed.gz 1.52 MB 61b4508c12483471632b2d1a741a2810
ENCFF346KEV.tabix.bed.gz.dvc 107.0 B 32c8eee8fdb003f9bc98c77e6aaf37e4
ENCFF346KEV.tabix.bed.gz.tbi 626.89 KB a8c3a570ffceb0b24a202f460691f3f5
ENCFF346KEV.tabix.bed.gz.tbi.dvc 110.0 B 6eb7679352c21cba45403b3b8a1bf839
genomic_resource.yaml 1.07 KB 50424baee61de53e1632b2f1602bf410
genomic_resource_original.yaml 1.0 KB 1f4683537c9b7258d018ca0f19763b28
statistics/