Back to main page

Resource

Id DNase-seq/ENCSR941DTJ
Type position_score
Version 0
Summary
Description
Labels
  • reference_genome: hg38/genomes/GRCh38-hg38
  • accession: ENCSR941DTJ
  • status: released
  • assay_term_name: DNase-seq
  • simple_biosample_summary: female embryo (108 days)
  • biosample_summary: Homo sapiens kidney tissue female embryo (108 days)
  • replication_type: unreplicated
  • biosample_ontology: /biosample-types/tissue_UBERON_0002113/
  • perturbed: False
  • doi: 10.17989/ENCSR941DTJ
  • date_created: 2015-09-16T21:42:50.350543+00:00
  • date_released: 2013-07-31
  • submitter_comment:

Scores

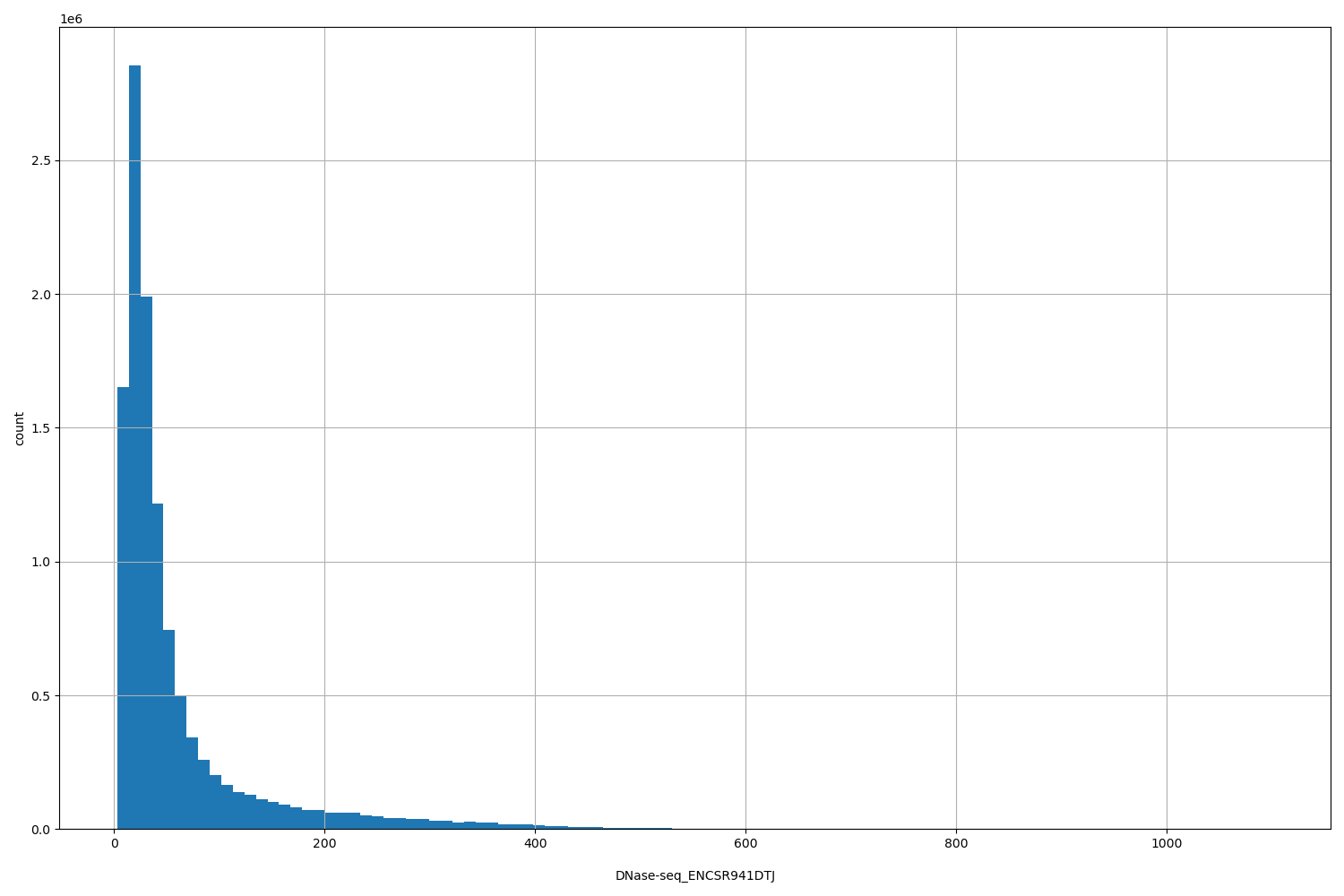
ID Type Default annotation Description Histogram Range
DNase-seq_ENCSR941DTJ float

DNase-seq_ENCSR941DTJ

DNase-seq ENCSR941DTJ [biosample_summary="Homo sapiens kidney tissue female embryo (108 days)"]
HISTOGRAM FOR DNase-seq_ENCSR941DTJ [3, 1.1e+03]

Files

Filename Size md5
ENCFF744IAP.bed.gz 742.74 KB bf1d96fc23694398757de1fd5c2f4069
ENCFF744IAP.bed.gz.dvc 100.0 B 8a22091645c58c0c2dd5d53b0e36cd33
ENCFF744IAP.tabix.bed.gz 636.59 KB 12cc71406bdf444923a81fc21153873e
ENCFF744IAP.tabix.bed.gz.dvc 106.0 B f53b946d5ed4c6cde0dbb7ce54ffa611
ENCFF744IAP.tabix.bed.gz.tbi 392.07 KB c8b6d4735d80648c83e66f1322e0e4fe
ENCFF744IAP.tabix.bed.gz.tbi.dvc 110.0 B 949643ebd5fa7dd4f184313bdd12ba1b
genomic_resource.yaml 1.39 KB 74811b868eb803d33aa2b1307b4f1a47
genomic_resource_original.yaml 1.29 KB 3e693b8e855908e071b51f58b8254ffb
statistics/