Back to main page

Resource

Id DNase-seq/ENCSR867XFA
Type position_score
Version 0
Summary
Description
Labels
  • reference_genome: hg38/genomes/GRCh38-hg38
  • accession: ENCSR867XFA
  • status: released
  • assay_term_name: DNase-seq
  • simple_biosample_summary: female adult (59 years)
  • biosample_summary: Homo sapiens left colon tissue female adult (59 years)
  • replication_type: unreplicated
  • biosample_ontology: /biosample-types/tissue_UBERON_0008971/
  • perturbed: False
  • doi: 10.17989/ENCSR867XFA
  • date_created: 2019-02-01T18:42:55.671242+00:00
  • date_released: 2020-09-28
  • submitter_comment:

Scores

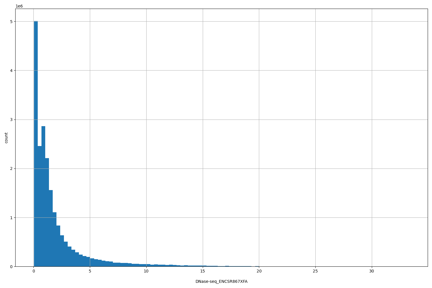
ID Type Default annotation Description Histogram Range
DNase-seq_ENCSR867XFA float

DNase-seq_ENCSR867XFA

DNase-seq ENCSR867XFA [biosample_summary="Homo sapiens left colon tissue female adult (59 years)"]
HISTOGRAM FOR DNase-seq_ENCSR867XFA [0.0544, 33.3]

Files

Filename Size md5
ENCFF341AEQ.bed.gz 1.16 MB 997f828fef49e07dc238a0db68b0a03d
ENCFF341AEQ.bed.gz.dvc 101.0 B 4c4b659f418ceaa04df976a161b583a9
ENCFF341AEQ.tabix.bed.gz 1.06 MB 21c1a6fe70e34b70c3cdefb936de1f46
ENCFF341AEQ.tabix.bed.gz.dvc 107.0 B 1762a37fa6a00ca178f6f8c82d53f42c
ENCFF341AEQ.tabix.bed.gz.tbi 325.76 KB 81f3921c2573472cc7ba2ecfebdd8ffa
ENCFF341AEQ.tabix.bed.gz.tbi.dvc 110.0 B 5c33bd561deecb3454dbb93c73765466
genomic_resource.yaml 1.22 KB 98cafdb4984aa32d53076ed2df45c303
genomic_resource_original.yaml 1.12 KB abee7e4083242cd40de299f065676b5d
statistics/