Back to main page

Resource

Id DNase-seq/ENCSR803BLT
Type position_score
Version 0
Summary
Description
Labels
  • reference_genome: hg38/genomes/GRCh38-hg38
  • accession: ENCSR803BLT
  • status: released
  • assay_term_name: DNase-seq
  • simple_biosample_summary: male adult (21 years) treated with lipopolysaccharide for 1 hour
  • biosample_summary: Homo sapiens inflammatory macrophage male adult (21 years) treated with lipopolysaccharide for 1 hour
  • replication_type: unreplicated
  • biosample_ontology: /biosample-types/primary_cell_CL_0000863/
  • perturbed: False
  • doi: 10.17989/ENCSR803BLT
  • date_created: 2021-11-18T17:43:08.141321+00:00
  • date_released: 2022-06-07
  • submitter_comment: This dataset includes replicates and files that were previously associated with dataset ENCSR643ZGR.

Scores

ID Type Default annotation Description Histogram Range
DNase-seq_ENCSR803BLT float

DNase-seq_ENCSR803BLT

DNase-seq ENCSR803BLT [biosample_summary="Homo sapiens inflammatory macrophage male adult (21 years) treated with lipopolysaccharide for 1 hour"]
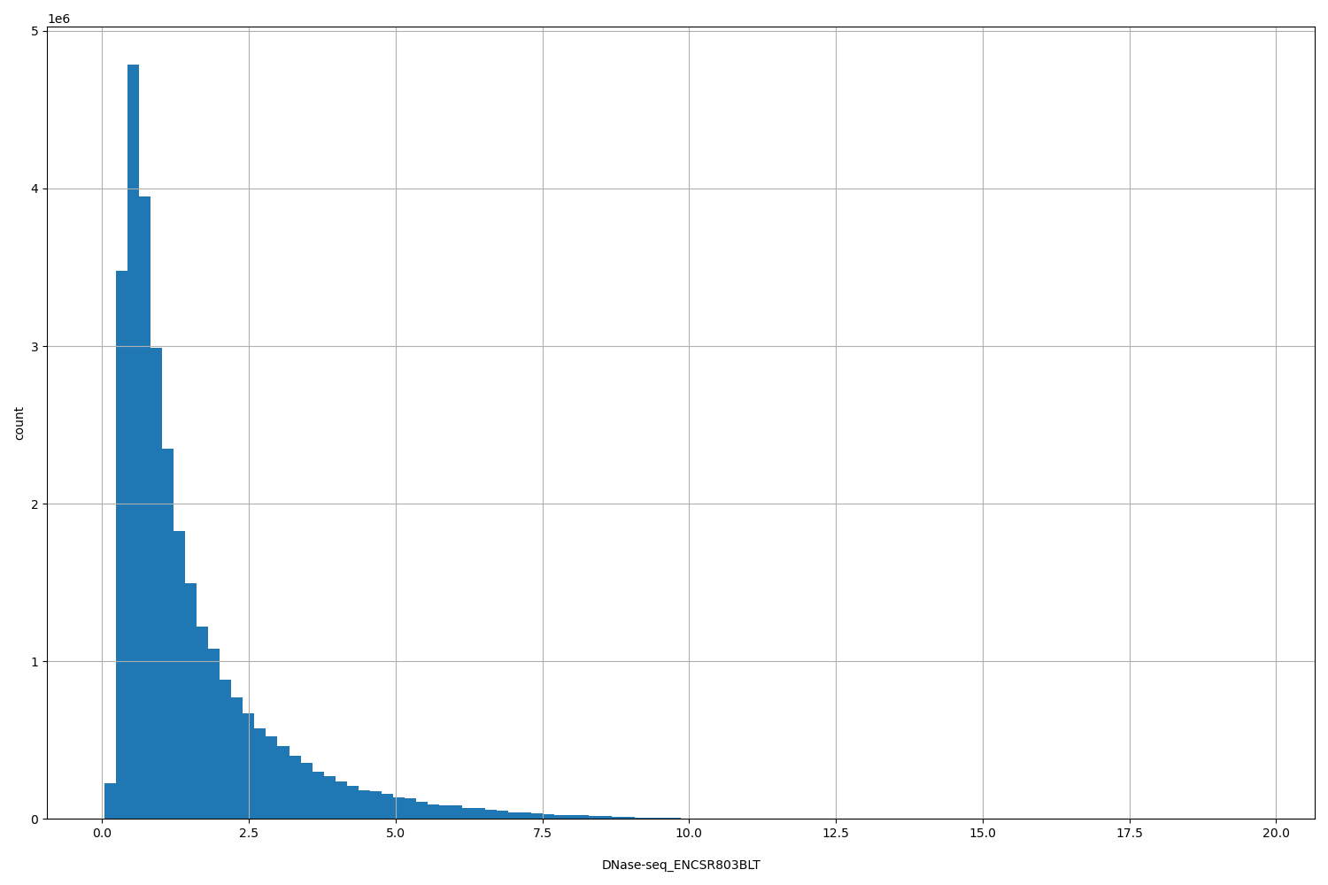
HISTOGRAM FOR DNase-seq_ENCSR803BLT [0.0425, 19.7]

Files

Filename Size md5
ENCFF963PZF.bed.gz 1.66 MB e1df5db9329661317cde58634725b003
ENCFF963PZF.bed.gz.dvc 101.0 B 0f8278034d6f53f3a93e6ad2088bc29f
ENCFF963PZF.tabix.bed.gz 1.53 MB 510e3117ca14d536cadb583ce54a0351
ENCFF963PZF.tabix.bed.gz.dvc 107.0 B be5435ea19e33df4a38051423ea03255
ENCFF963PZF.tabix.bed.gz.tbi 502.56 KB 705050cb45bace7c75022977cb275c0c
ENCFF963PZF.tabix.bed.gz.tbi.dvc 110.0 B 889bd61369f79d7de136120da16eee37
genomic_resource.yaml 1.55 KB b57ba9d13a5dc77610b9a4ac291b32b2
genomic_resource_original.yaml 1.41 KB 19bd87f6c361a6e72384e17637564b47
statistics/