Back to main page

Resource

Id DNase-seq/ENCSR789VGQ
Type position_score
Version 0
Summary
Description
Labels
  • reference_genome: hg38/genomes/GRCh38-hg38
  • accession: ENCSR789VGQ
  • status: released
  • assay_term_name: DNase-seq
  • simple_biosample_summary:
  • biosample_summary: Homo sapiens MCF 10A
  • replication_type: unreplicated
  • biosample_ontology: /biosample-types/cell_line_EFO_0001200/
  • perturbed: False
  • doi: 10.17989/ENCSR789VGQ
  • date_created: 2017-11-01T23:57:38.766242+00:00
  • date_released: 2018-01-18
  • submitter_comment:

Scores

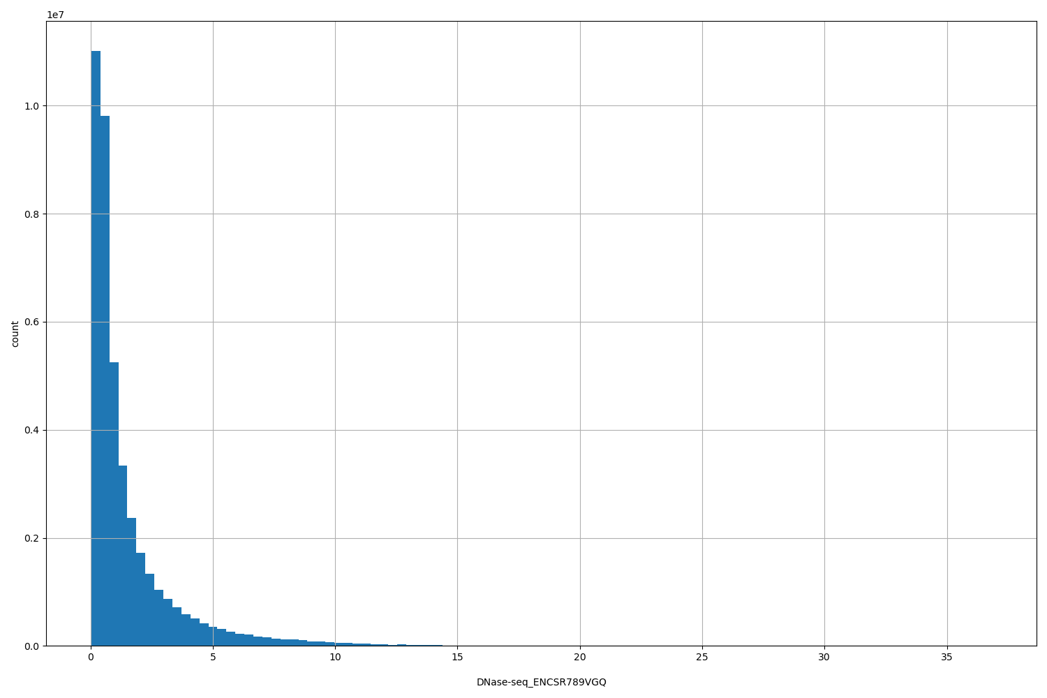
ID Type Default annotation Description Histogram Range
DNase-seq_ENCSR789VGQ float

DNase-seq_ENCSR789VGQ

DNase-seq ENCSR789VGQ [biosample_summary="Homo sapiens MCF 10A"]
HISTOGRAM FOR DNase-seq_ENCSR789VGQ [0.0353, 36.8]

Files

Filename Size md5
ENCFF916CRB.bed.gz 2.34 MB 3073903aafabf8e6c79037df95e24a17
ENCFF916CRB.bed.gz.dvc 101.0 B 83a8f1090a9e4711f4048f5657fad597
ENCFF916CRB.tabix.bed.gz 2.14 MB a3b8950b8ecbfaa54075e218f9d4ecc3
ENCFF916CRB.tabix.bed.gz.dvc 107.0 B 3543a4aae8c6d71e406091f37828a9c6
ENCFF916CRB.tabix.bed.gz.tbi 698.14 KB 8403b141e0101f5996c9d1f4ee48d1db
ENCFF916CRB.tabix.bed.gz.tbi.dvc 110.0 B 7d1a8e5bdcb87fe7ebd525cbea2f8e68
genomic_resource.yaml 1.07 KB df3d824403aed367b5b4fdf26bfccd64
genomic_resource_original.yaml 1.0 KB 6973d3508ca565d2ad15d09d6e2d955e
statistics/