Back to main page

Resource

Id DNase-seq/ENCSR784RMA
Type position_score
Version 0
Summary
Description
Labels
  • reference_genome: hg38/genomes/GRCh38-hg38
  • accession: ENCSR784RMA
  • status: released
  • assay_term_name: DNase-seq
  • simple_biosample_summary: male adult (36 years)
  • biosample_summary: Homo sapiens T-cell male adult (36 years)
  • replication_type: unreplicated
  • biosample_ontology: /biosample-types/primary_cell_CL_0000084/
  • perturbed: False
  • doi: 10.17989/ENCSR784RMA
  • date_created: 2020-04-12T19:00:07.274656+00:00
  • date_released: 2020-09-25
  • submitter_comment:

Scores

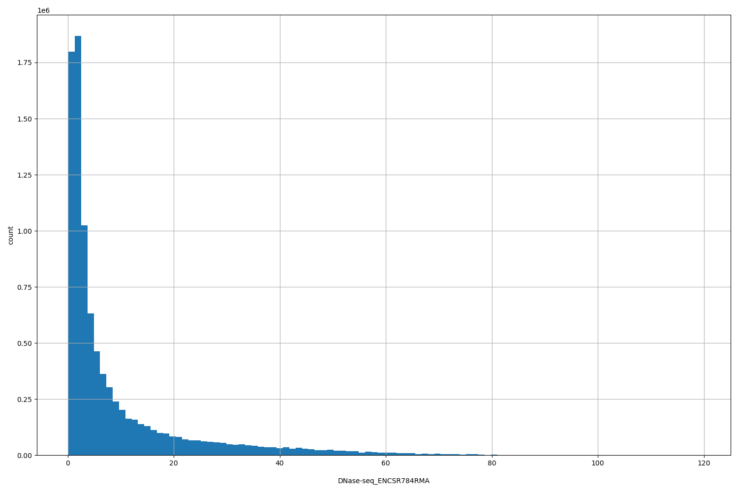
ID Type Default annotation Description Histogram Range
DNase-seq_ENCSR784RMA float

DNase-seq_ENCSR784RMA

DNase-seq ENCSR784RMA [biosample_summary="Homo sapiens T-cell male adult (36 years)"]
HISTOGRAM FOR DNase-seq_ENCSR784RMA [0.151, 119]

Files

Filename Size md5
ENCFF771HQR.bed.gz 582.92 KB be06b24a6892b3dd5fc3bb67ea60a3e9
ENCFF771HQR.bed.gz.dvc 100.0 B 6b971ba06d63eddc05bf50336580aae2
ENCFF771HQR.tabix.bed.gz 538.9 KB 71125f1545ef0641b5e6cfe6eddfc354
ENCFF771HQR.tabix.bed.gz.dvc 106.0 B b56e1a09abbb4513509a955a15329a25
ENCFF771HQR.tabix.bed.gz.tbi 240.39 KB c5f1c35ed0dcfa5f118345019a63d43b
ENCFF771HQR.tabix.bed.gz.tbi.dvc 110.0 B ace3670619743f65b400db1d012aaca1
genomic_resource.yaml 1.18 KB dad3c1333de9b06bc86fb1475c3f5dc6
genomic_resource_original.yaml 1.09 KB 8722d909439e5efb674c61ea033f4537
statistics/