Back to main page

Resource

Id DNase-seq/ENCSR721DFB
Type position_score
Version 0
Summary
Description
Labels
  • reference_genome: hg38/genomes/GRCh38-hg38
  • accession: ENCSR721DFB
  • status: released
  • assay_term_name: DNase-seq
  • simple_biosample_summary: female adult (90 or above years) with mild cognitive impairment
  • biosample_summary: Homo sapiens with mild cognitive impairment; head of caudate nucleus tissue female adult (90 or above years)
  • replication_type: unreplicated
  • biosample_ontology: /biosample-types/tissue_UBERON_0002626/
  • perturbed: False
  • doi: 10.17989/ENCSR721DFB
  • date_created: 2020-12-10T18:27:50.789540+00:00
  • date_released: 2021-01-12
  • submitter_comment:

Scores

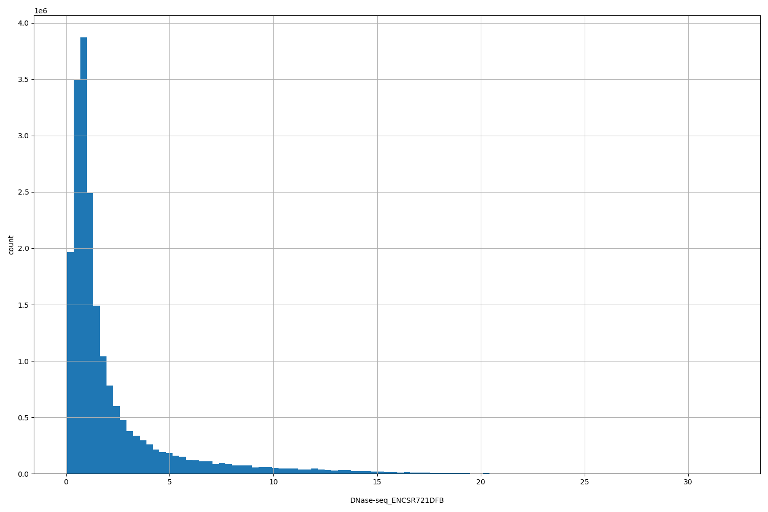
ID Type Default annotation Description Histogram Range
DNase-seq_ENCSR721DFB float

DNase-seq_ENCSR721DFB

DNase-seq ENCSR721DFB [biosample_summary="Homo sapiens with mild cognitive impairment; head of caudate nucleus tissue female adult (90 or above years)"]
HISTOGRAM FOR DNase-seq_ENCSR721DFB [0.0496, 31.9]

Files

Filename Size md5
ENCFF282VAB.bed.gz 1.14 MB 4dcc010c438a29df345977251c9f7845
ENCFF282VAB.bed.gz.dvc 101.0 B efe0afc6ae7167067ef53dbf84703c00
ENCFF282VAB.tabix.bed.gz 1.04 MB 4e7835522755a120773fcba9abc19abb
ENCFF282VAB.tabix.bed.gz.dvc 107.0 B 9ad2a6e2fcdd09ef2201a0eea7cd3ac7
ENCFF282VAB.tabix.bed.gz.tbi 407.06 KB 89d7a9a03fdc5caac7cbe5e3c15f8523
ENCFF282VAB.tabix.bed.gz.tbi.dvc 110.0 B 449147e670718967e8458e104d7a1305
genomic_resource.yaml 1.47 KB 69a22c8552575ecf0001a5139b426490
genomic_resource_original.yaml 1.32 KB 35177c7c1a69c948eac49e5735114b96
statistics/