Back to main page

Resource

Id DNase-seq/ENCSR659JPP
Type position_score
Version 0
Summary
Description
Labels
  • reference_genome: hg38/genomes/GRCh38-hg38
  • accession: ENCSR659JPP
  • status: released
  • assay_term_name: DNase-seq
  • simple_biosample_summary: male adult (84 years) with mild cognitive impairment
  • biosample_summary: Homo sapiens with mild cognitive impairment; head of caudate nucleus tissue male adult (84 years)
  • replication_type: unreplicated
  • biosample_ontology: /biosample-types/tissue_UBERON_0002626/
  • perturbed: False
  • doi: 10.17989/ENCSR659JPP
  • date_created: 2020-12-10T18:27:50.191413+00:00
  • date_released: 2021-01-12
  • submitter_comment:

Scores

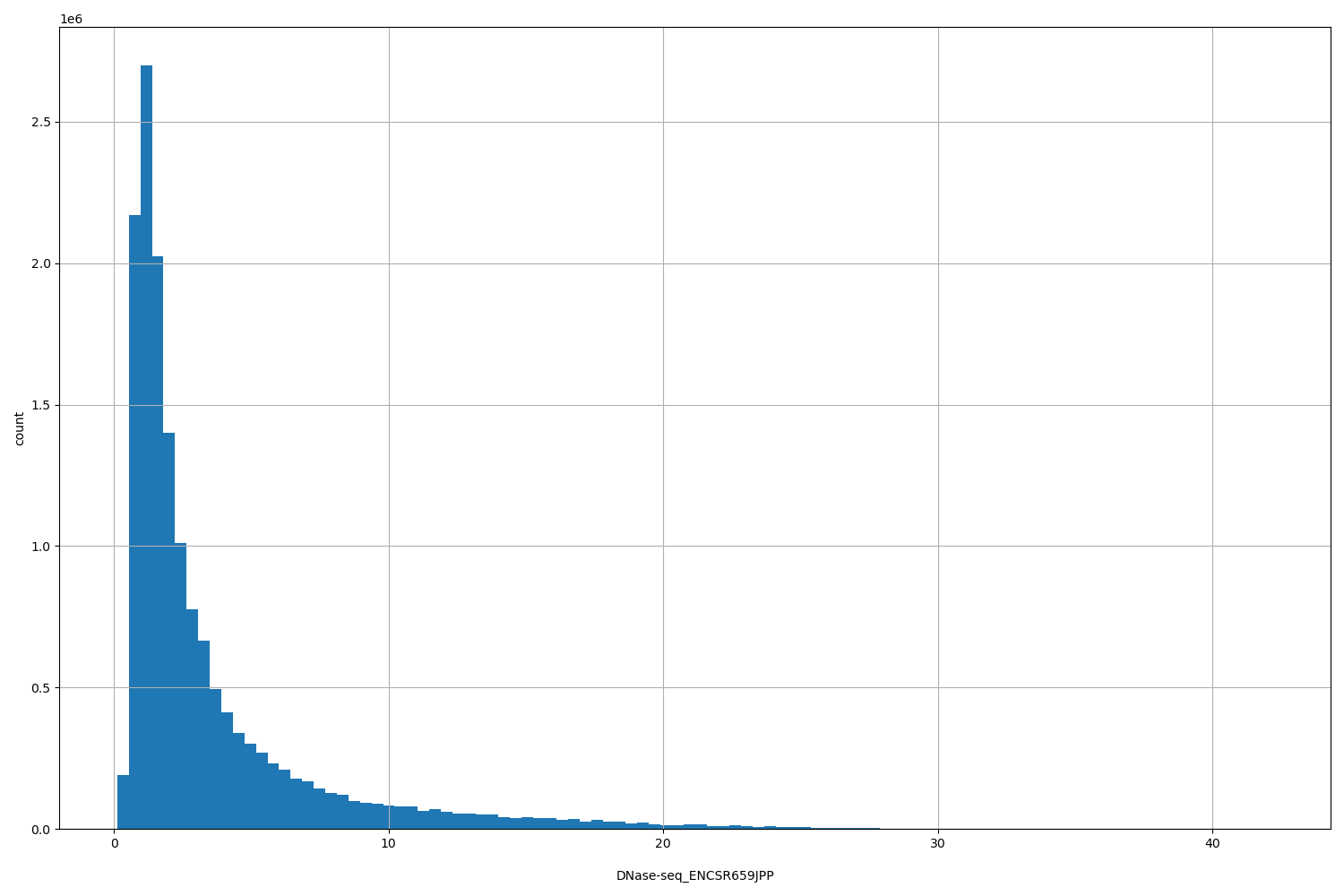
ID Type Default annotation Description Histogram Range
DNase-seq_ENCSR659JPP float

DNase-seq_ENCSR659JPP

DNase-seq ENCSR659JPP [biosample_summary="Homo sapiens with mild cognitive impairment; head of caudate nucleus tissue male adult (84 years)"]
HISTOGRAM FOR DNase-seq_ENCSR659JPP [0.124, 42.2]

Files

Filename Size md5
ENCFF722YWV.bed.gz 947.27 KB 58e3844d2cf3fff15db697382e39111a
ENCFF722YWV.bed.gz.dvc 100.0 B 1bc870c226b0a550662f418c6e0c189c
ENCFF722YWV.tabix.bed.gz 858.05 KB 7953e19a177ac235231484875f9bfdba
ENCFF722YWV.tabix.bed.gz.dvc 106.0 B 8fc42aba404f2aacb095ec913ff317f6
ENCFF722YWV.tabix.bed.gz.tbi 376.09 KB 7ee06af159bf3092e0e04a0ee1c560a7
ENCFF722YWV.tabix.bed.gz.tbi.dvc 110.0 B 59893a02f9ff31e058d4f0cdf86ecca2
genomic_resource.yaml 1.41 KB c97a7a0a67827ed5f16fcacc072215b5
genomic_resource_original.yaml 1.27 KB 051afbdda2ad4eabff5ba3690b34a2e8
statistics/