Back to main page

Resource

Id DNase-seq/ENCSR627QIA
Type position_score
Version 0
Summary
Description
Labels
  • reference_genome: hg38/genomes/GRCh38-hg38
  • accession: ENCSR627QIA
  • status: released
  • assay_term_name: DNase-seq
  • simple_biosample_summary: male adult (28 years)
  • biosample_summary: Homo sapiens T-cell male adult (28 years)
  • replication_type: unreplicated
  • biosample_ontology: /biosample-types/primary_cell_CL_0000084/
  • perturbed: False
  • doi: 10.17989/ENCSR627QIA
  • date_created: 2020-04-12T18:59:14.383685+00:00
  • date_released: 2020-09-25
  • submitter_comment:

Scores

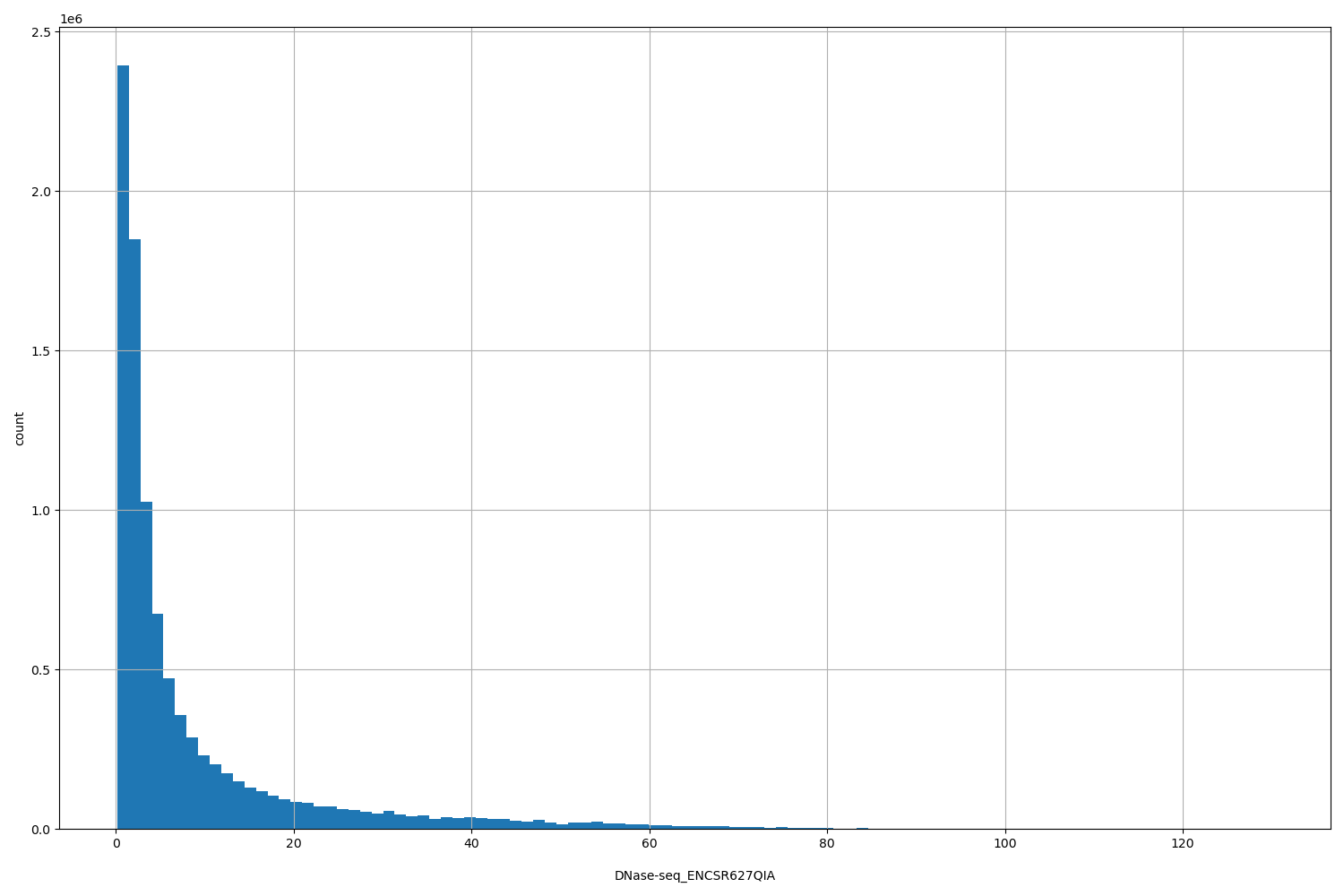
ID Type Default annotation Description Histogram Range
DNase-seq_ENCSR627QIA float

DNase-seq_ENCSR627QIA

DNase-seq ENCSR627QIA [biosample_summary="Homo sapiens T-cell male adult (28 years)"]
HISTOGRAM FOR DNase-seq_ENCSR627QIA [0.166, 130]

Files

Filename Size md5
ENCFF277YPZ.bed.gz 617.79 KB 3b8737f74e263af7a4a885b9b364a9ad
ENCFF277YPZ.bed.gz.dvc 100.0 B 17874067dc9b39db3fa9c5b0287db07f
ENCFF277YPZ.tabix.bed.gz 561.67 KB bbeb86a63d935b383e1213d683a8f509
ENCFF277YPZ.tabix.bed.gz.dvc 106.0 B 77306d8e2e1af1a1a35887be5a92b377
ENCFF277YPZ.tabix.bed.gz.tbi 254.81 KB be857e60b02636b5645a53f29bfadb1f
ENCFF277YPZ.tabix.bed.gz.tbi.dvc 110.0 B 086ba1c169b0e7c96ccaf0556e591eed
genomic_resource.yaml 1.18 KB 5b23a8e46ab3fa693a1f0a2721ff315d
genomic_resource_original.yaml 1.09 KB b8f0ed61996da14d4216845e363e2f96
statistics/