Back to main page

Resource

Id DNase-seq/ENCSR621ENC
Type position_score
Version 0
Summary
Description
Labels
  • reference_genome: hg38/genomes/GRCh38-hg38
  • accession: ENCSR621ENC
  • status: released
  • assay_term_name: DNase-seq
  • simple_biosample_summary: embryo (85 days) embryo (74 days)
  • biosample_summary: Homo sapiens retina tissue embryo (74 days) and embryo (85 days)
  • replication_type: anisogenic
  • biosample_ontology: /biosample-types/tissue_UBERON_0000966/
  • perturbed: False
  • doi: 10.17989/ENCSR621ENC
  • date_created: 2014-03-06T06:21:15.680212+00:00
  • date_released: 2016-05-09
  • submitter_comment:

Scores

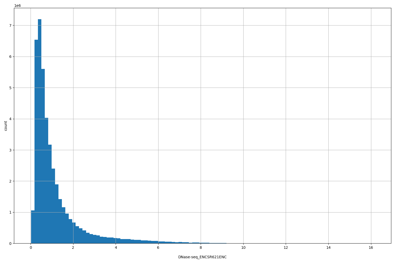
ID Type Default annotation Description Histogram Range
DNase-seq_ENCSR621ENC float

DNase-seq_ENCSR621ENC

DNase-seq ENCSR621ENC [biosample_summary="Homo sapiens retina tissue embryo (74 days) and embryo (85 days)"]
HISTOGRAM FOR DNase-seq_ENCSR621ENC [0.023, 16.1]

Files

Filename Size md5
ENCFF853KWU.bed.gz 1.66 MB 3868b81a161b67ddfa78f321268d75cd
ENCFF853KWU.bed.gz.dvc 101.0 B 0c694b84a12cad51180ab3988ac43a2e
ENCFF853KWU.tabix.bed.gz 1.6 MB b1346b4bb1fd640406d5ba3742ddf9b8
ENCFF853KWU.tabix.bed.gz.dvc 107.0 B a2b9585f8e9303adbd3e165bc413941c
ENCFF853KWU.tabix.bed.gz.tbi 499.88 KB c3fd12ee911f741187efa76637fd32e2
ENCFF853KWU.tabix.bed.gz.tbi.dvc 110.0 B 9743de7dffdfcb3cdc9f906ff16f1fd5
genomic_resource.yaml 1.27 KB d45c98359f58cb94ff896929d22f5e0b
genomic_resource_original.yaml 1.16 KB 53f2b6f09db1ce54b402a7cb66721905
statistics/