Back to main page

Resource

Id DNase-seq/ENCSR597URK
Type position_score
Version 0
Summary
Description
Labels
  • reference_genome: hg38/genomes/GRCh38-hg38
  • accession: ENCSR597URK
  • status: released
  • assay_term_name: DNase-seq
  • simple_biosample_summary: female adult (28 years)
  • biosample_summary: Homo sapiens T-cell female adult (28 years)
  • replication_type: unreplicated
  • biosample_ontology: /biosample-types/primary_cell_CL_0000084/
  • perturbed: False
  • doi: 10.17989/ENCSR597URK
  • date_created: 2020-03-30T19:01:27.674570+00:00
  • date_released: 2020-09-25
  • submitter_comment:

Scores

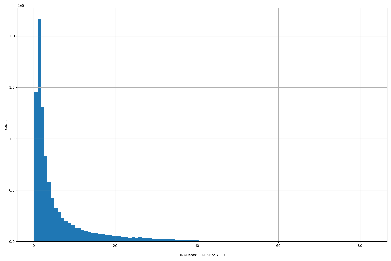
ID Type Default annotation Description Histogram Range
DNase-seq_ENCSR597URK float

DNase-seq_ENCSR597URK

DNase-seq ENCSR597URK [biosample_summary="Homo sapiens T-cell female adult (28 years)"]
HISTOGRAM FOR DNase-seq_ENCSR597URK [0.141, 82.5]

Files

Filename Size md5
ENCFF561HFN.bed.gz 614.76 KB 354af013c82e53aa4958915f5876dfce
ENCFF561HFN.bed.gz.dvc 100.0 B 678866f856eabf257a6c74dba010753f
ENCFF561HFN.tabix.bed.gz 560.78 KB 467fecd89d322821cef12f21ecae8efc
ENCFF561HFN.tabix.bed.gz.dvc 106.0 B 9a0d5331015e4074e6e1043685008ebc
ENCFF561HFN.tabix.bed.gz.tbi 248.89 KB a9181fa76396d82dbab9083dba04daaf
ENCFF561HFN.tabix.bed.gz.tbi.dvc 110.0 B 0a84eee5383faadcbee866a3bad05f2a
genomic_resource.yaml 1.19 KB 00435b9e21424f56521d57849aa9fd92
genomic_resource_original.yaml 1.1 KB a1b1e7147c50ccbac0b4728d1af0ae59
statistics/