Back to main page

Resource

Id DNase-seq/ENCSR581RSO
Type position_score
Version 0
Summary
Description
Labels
  • reference_genome: hg38/genomes/GRCh38-hg38
  • accession: ENCSR581RSO
  • status: released
  • assay_term_name: DNase-seq
  • simple_biosample_summary: male adult (34 years)
  • biosample_summary: Homo sapiens T-cell male adult (34 years)
  • replication_type: unreplicated
  • biosample_ontology: /biosample-types/primary_cell_CL_0000084/
  • perturbed: False
  • doi: 10.17989/ENCSR581RSO
  • date_created: 2020-04-12T18:59:14.457939+00:00
  • date_released: 2020-09-25
  • submitter_comment:

Scores

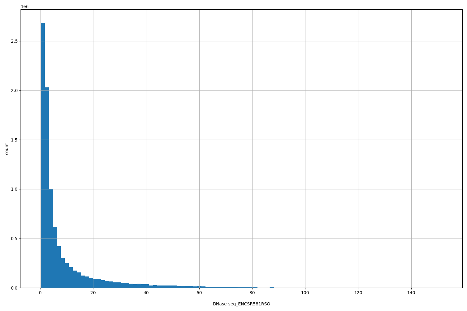
ID Type Default annotation Description Histogram Range
DNase-seq_ENCSR581RSO float

DNase-seq_ENCSR581RSO

DNase-seq ENCSR581RSO [biosample_summary="Homo sapiens T-cell male adult (34 years)"]
HISTOGRAM FOR DNase-seq_ENCSR581RSO [0.24, 152]

Files

Filename Size md5
ENCFF063HRQ.bed.gz 599.31 KB 9d2fad1d25653f669850c54a6a99b0a1
ENCFF063HRQ.bed.gz.dvc 100.0 B 1fffa58a634f4845d4bc177ed241bff7
ENCFF063HRQ.tabix.bed.gz 543.23 KB 02a5dfcbae9b64c63f9148a40c7cba98
ENCFF063HRQ.tabix.bed.gz.dvc 106.0 B f26024e692eaf4749f5650b8560ecfa0
ENCFF063HRQ.tabix.bed.gz.tbi 250.28 KB d5de69c09913f96ef21ebb6cfdd96580
ENCFF063HRQ.tabix.bed.gz.tbi.dvc 110.0 B 0f67ee9efe80012715e9f6bac29e1a0b
genomic_resource.yaml 1.18 KB 683254cd2af7f54387eaf844b4e99a07
genomic_resource_original.yaml 1.09 KB 286f9e857ef6e73f4dc398efa1cc4b80
statistics/