Back to main page

Resource

Id DNase-seq/ENCSR559WMK
Type position_score
Version 0
Summary
Description
Labels
  • reference_genome: hg38/genomes/GRCh38-hg38
  • accession: ENCSR559WMK
  • status: released
  • assay_term_name: DNase-seq
  • simple_biosample_summary: male embryo (72 days)
  • biosample_summary: Homo sapiens tongue tissue male embryo (72 days)
  • replication_type: unreplicated
  • biosample_ontology: /biosample-types/tissue_UBERON_0001723/
  • perturbed: False
  • doi: 10.17989/ENCSR559WMK
  • date_created: 2014-06-20T23:49:25.685732+00:00
  • date_released: 2015-08-31
  • submitter_comment:

Scores

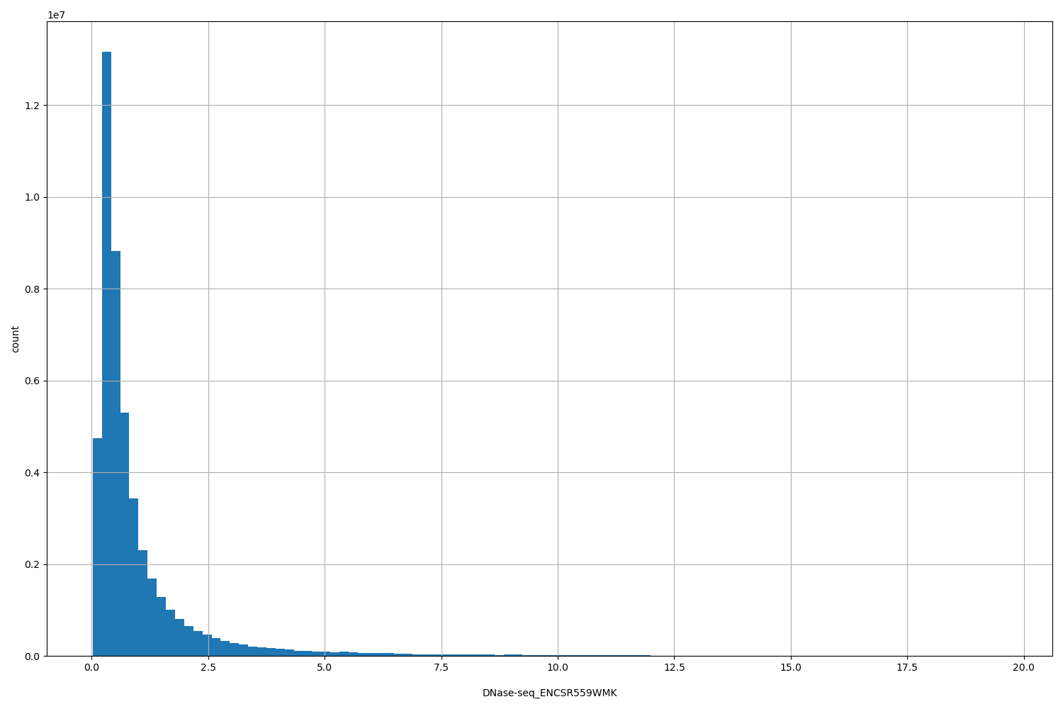
ID Type Default annotation Description Histogram Range
DNase-seq_ENCSR559WMK float

DNase-seq_ENCSR559WMK

DNase-seq ENCSR559WMK [biosample_summary="Homo sapiens tongue tissue male embryo (72 days)"]
HISTOGRAM FOR DNase-seq_ENCSR559WMK [0.027, 19.6]

Files

Filename Size md5
ENCFF352WTW.bed.gz 2.44 MB 1b796c7c953cad0ccc88a57a898a4f83
ENCFF352WTW.bed.gz.dvc 101.0 B e14597553c86e03822bc787b1d6288fe
ENCFF352WTW.tabix.bed.gz 2.24 MB b8c45b2c6429519835712985542e32e0
ENCFF352WTW.tabix.bed.gz.dvc 107.0 B 01987979cb0e6a68781f7745a081e617
ENCFF352WTW.tabix.bed.gz.tbi 697.69 KB aa343614a2b2d5d789fc4dfc340b5aec
ENCFF352WTW.tabix.bed.gz.tbi.dvc 110.0 B a2e4d3b5a8fe4171f68b4668b9c0ecd5
genomic_resource.yaml 1.2 KB e918cc44592844432c7a72b135e09aa4
genomic_resource_original.yaml 1.1 KB a025cb0301dfa787c3ff137033623bb6
statistics/