Back to main page

Resource

Id DNase-seq/ENCSR518YYX
Type position_score
Version 0
Summary
Description
Labels
  • reference_genome: hg38/genomes/GRCh38-hg38
  • accession: ENCSR518YYX
  • status: released
  • assay_term_name: DNase-seq
  • simple_biosample_summary: male adult (30 years) treated with anti-CD3 and anti-CD28 coated beads for 36 hours
  • biosample_summary: Homo sapiens activated naive CD8-positive, alpha-beta T cell male adult (30 years) treated with anti-CD3 and anti-CD28 coated beads for 36 hours
  • replication_type: unreplicated
  • biosample_ontology: /biosample-types/primary_cell_NTR_0000502/
  • perturbed: False
  • doi: 10.17989/ENCSR518YYX
  • date_created: 2021-08-24T22:56:05.963905+00:00
  • date_released: 2021-11-04
  • submitter_comment:

Scores

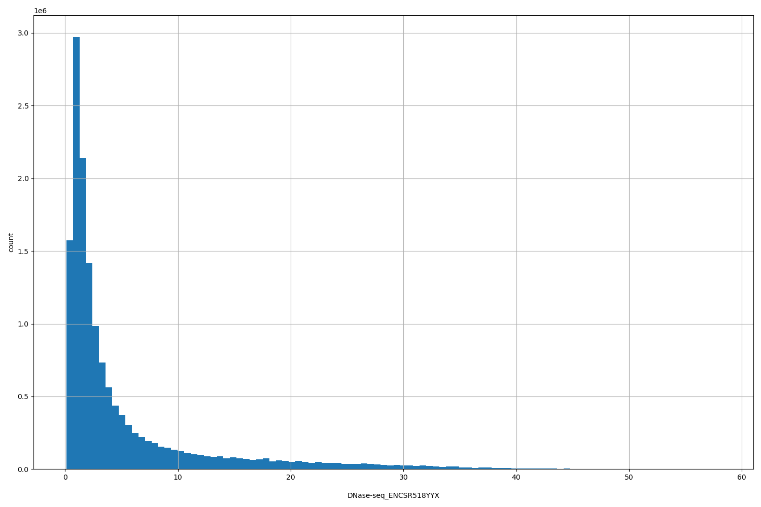
ID Type Default annotation Description Histogram Range
DNase-seq_ENCSR518YYX float

DNase-seq_ENCSR518YYX

DNase-seq ENCSR518YYX [biosample_summary="Homo sapiens activated naive CD8-positive, alpha-beta T cell male adult (30 years) treated with anti-CD3 and anti-CD28 coated beads for 36 hours"]
HISTOGRAM FOR DNase-seq_ENCSR518YYX [0.113, 58.1]

Files

Filename Size md5
ENCFF260PVK.bed.gz 872.69 KB c9c496d9003b33d8b8d331b2ca1c3776
ENCFF260PVK.bed.gz.dvc 100.0 B 3de4d13b734553834fd437f133341e9f
ENCFF260PVK.tabix.bed.gz 800.66 KB d958d2e4237392ec275ce2ce67edd7ab
ENCFF260PVK.tabix.bed.gz.dvc 106.0 B 3421009ebf5ad3e9b855803eaf0e6506
ENCFF260PVK.tabix.bed.gz.tbi 316.98 KB 46f86fcc84f47dd38ae9f5aa97978e38
ENCFF260PVK.tabix.bed.gz.tbi.dvc 110.0 B 343d8db32b6046fcf2b478f0d237bd6e
genomic_resource.yaml 1.62 KB 9f42829d423012056d1c8ee4c92da915
genomic_resource_original.yaml 1.44 KB 7e91933b9514afacd12565032754c2c4
statistics/