Back to main page

Resource

Id DNase-seq/ENCSR515EWI
Type position_score
Version 0
Summary
Description
Labels
  • reference_genome: hg38/genomes/GRCh38-hg38
  • accession: ENCSR515EWI
  • status: released
  • assay_term_name: DNase-seq
  • simple_biosample_summary:
  • biosample_summary: Homo sapiens Caki2
  • replication_type: isogenic
  • biosample_ontology: /biosample-types/cell_line_EFO_0002150/
  • perturbed: False
  • doi: 10.17989/ENCSR515EWI
  • date_created: 2014-06-20T22:01:10.119420+00:00
  • date_released: 2015-08-18
  • submitter_comment:

Scores

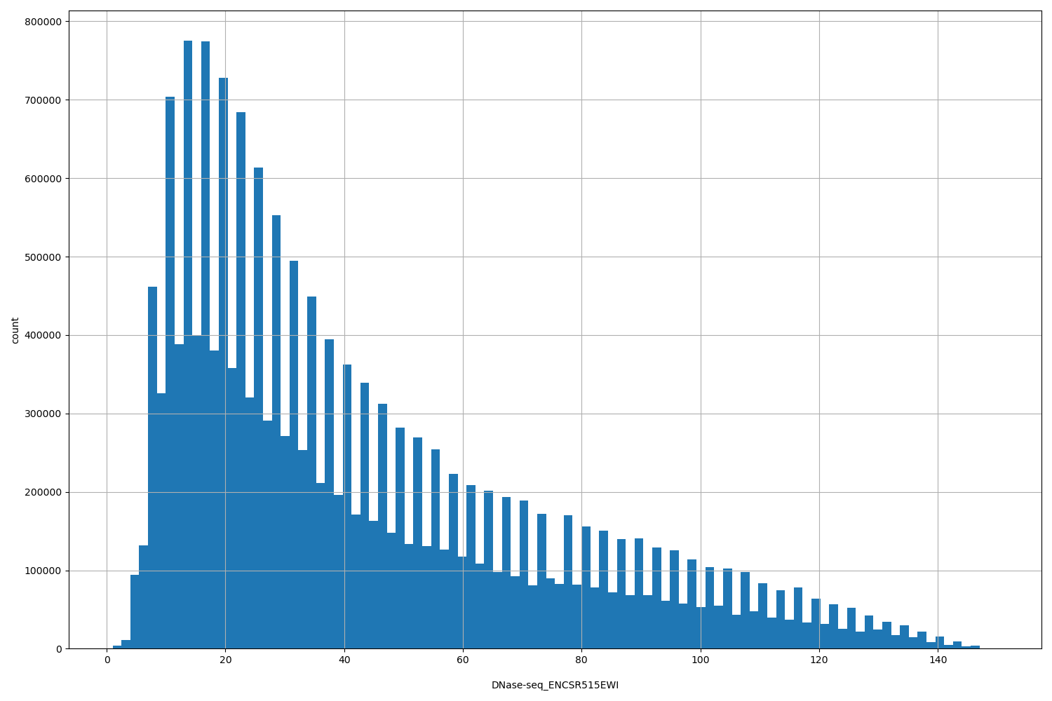
ID Type Default annotation Description Histogram Range
DNase-seq_ENCSR515EWI float

DNase-seq_ENCSR515EWI

DNase-seq ENCSR515EWI [biosample_summary="Homo sapiens Caki2"]
HISTOGRAM FOR DNase-seq_ENCSR515EWI [1, 150]

Files

Filename Size md5
ENCFF860PPF.bed.gz 1.08 MB af2deacfe31b085902a71e9d67ac49b6
ENCFF860PPF.bed.gz.dvc 101.0 B a32c8487077665bdeb3a3dc9beeddfb3
ENCFF860PPF.tabix.bed.gz 1.0 MB 0aa24b2106eac0e6a71b3258ca40b1f4
ENCFF860PPF.tabix.bed.gz.dvc 107.0 B a7cac3ff94b752cf54bd7c222215386a
ENCFF860PPF.tabix.bed.gz.tbi 462.0 KB c89c2422257c6d6c5f2a44b7bde28de9
ENCFF860PPF.tabix.bed.gz.tbi.dvc 110.0 B 6f62b65ebbd589cf27558753f4fccfb5
genomic_resource.yaml 1.25 KB 115f9b05bbf007b8d0611bcaa5a58c49
genomic_resource_original.yaml 1.18 KB ba99b6fabf37367855f5e0148bb6d5ea
statistics/