Back to main page

Resource

Id DNase-seq/ENCSR478SWA
Type position_score
Version 0
Summary
Description
Labels
  • reference_genome: hg38/genomes/GRCh38-hg38
  • accession: ENCSR478SWA
  • status: released
  • assay_term_name: DNase-seq
  • simple_biosample_summary: male adult (43 years) treated with anti-CD3 and anti-CD28 coated beads for 36 hours
  • biosample_summary: Homo sapiens activated naive CD4-positive, alpha-beta T cell male adult (43 years) treated with anti-CD3 and anti-CD28 coated beads for 36 hours
  • replication_type: unreplicated
  • biosample_ontology: /biosample-types/primary_cell_NTR_0000497/
  • perturbed: False
  • doi: 10.17989/ENCSR478SWA
  • date_created: 2019-08-24T00:09:40.767674+00:00
  • date_released: 2020-09-28
  • submitter_comment:

Scores

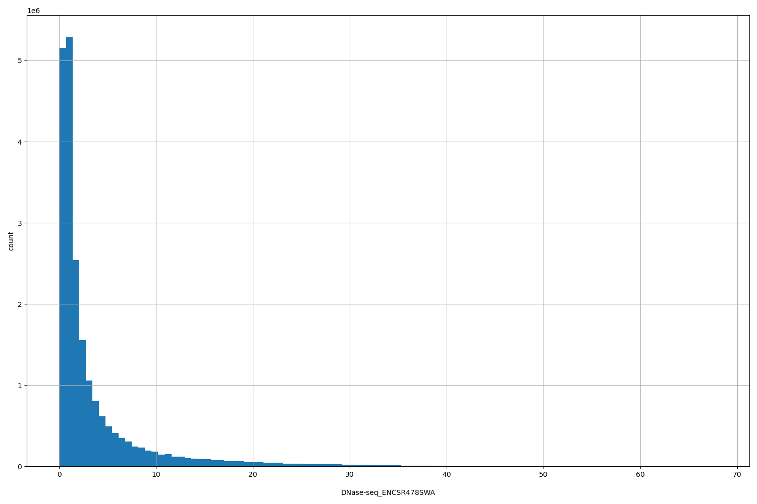
ID Type Default annotation Description Histogram Range
DNase-seq_ENCSR478SWA float

DNase-seq_ENCSR478SWA

DNase-seq ENCSR478SWA [biosample_summary="Homo sapiens activated naive CD4-positive, alpha-beta T cell male adult (43 years) treated with anti-CD3 and anti-CD28 coated beads for 36 hours"]
HISTOGRAM FOR DNase-seq_ENCSR478SWA [0.0481, 67.9]

Files

Filename Size md5
ENCFF261QWU.bed.gz 1.29 MB 81ec6a6e4bc2ce409a22bdbf17aa031e
ENCFF261QWU.bed.gz.dvc 101.0 B 6ff033652fac752d620f2b88241f41a9
ENCFF261QWU.tabix.bed.gz 1.18 MB 25ceb7964ec791319f5ce6d53ed0bfba
ENCFF261QWU.tabix.bed.gz.dvc 107.0 B 826f5f1ce2ceac85fafe6a358c29ef1c
ENCFF261QWU.tabix.bed.gz.tbi 404.49 KB 2e4d11fbee62f64189555e1c9ad161c4
ENCFF261QWU.tabix.bed.gz.tbi.dvc 110.0 B db58695b9f53150c049a855ac35eff4e
genomic_resource.yaml 1.62 KB 38594ce337111fd5363299bcf351ba02
genomic_resource_original.yaml 1.44 KB 91bbb3f54c05afd5e6587ee7c3f8eaf8
statistics/