Back to main page

Resource

Id DNase-seq/ENCSR337IRF
Type position_score
Version 0
Summary
Description
Labels
  • reference_genome: hg38/genomes/GRCh38-hg38
  • accession: ENCSR337IRF
  • status: released
  • assay_term_name: DNase-seq
  • simple_biosample_summary:
  • biosample_summary: Homo sapiens RCC
  • replication_type: isogenic
  • biosample_ontology: /biosample-types/cell_line_EFO_0000681/
  • perturbed: False
  • doi: 10.17989/ENCSR337IRF
  • date_created: 2017-11-01T21:39:53.934989+00:00
  • date_released: 2018-05-09
  • submitter_comment:

Scores

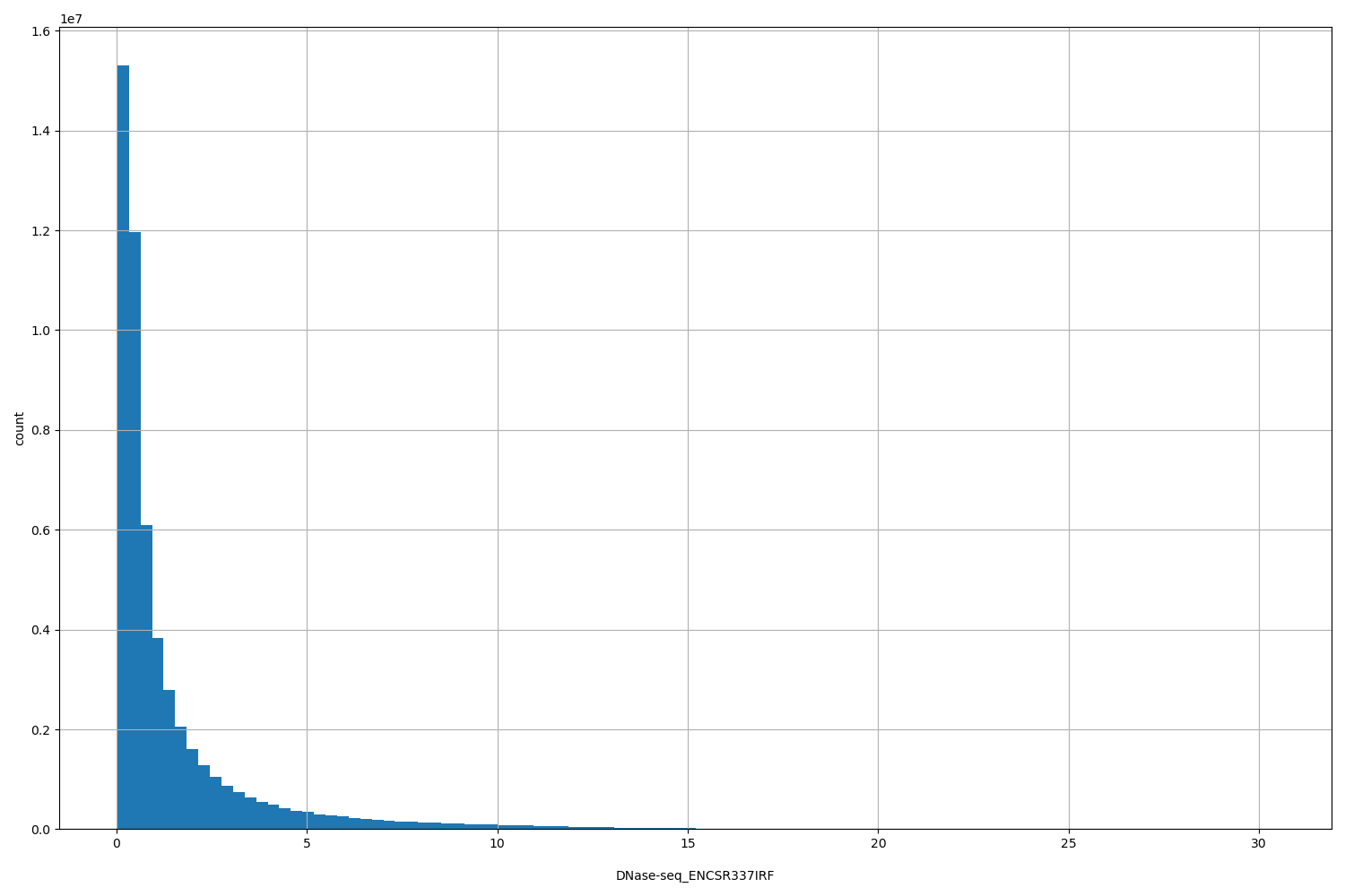
ID Type Default annotation Description Histogram Range
DNase-seq_ENCSR337IRF float

DNase-seq_ENCSR337IRF

DNase-seq ENCSR337IRF [biosample_summary="Homo sapiens RCC"]
HISTOGRAM FOR DNase-seq_ENCSR337IRF [0.0244, 30.4]

Files

Filename Size md5
ENCFF875AXC.bed.gz 2.93 MB e63427a8d83fa3379b1c8a1dec762080
ENCFF875AXC.bed.gz.dvc 101.0 B befc96a0a08225701d501448d05957af
ENCFF875AXC.tabix.bed.gz 2.68 MB 7d972e697b95b7442023810cad85bacd
ENCFF875AXC.tabix.bed.gz.dvc 107.0 B 3bbd60d52d54bcfd8622c107e9f0e88f
ENCFF875AXC.tabix.bed.gz.tbi 749.86 KB f667b095444c22b8c355764045656686
ENCFF875AXC.tabix.bed.gz.tbi.dvc 110.0 B b9cd317bed494d42aff05d50cc363d0e
genomic_resource.yaml 1.06 KB d9e13659a6af048d62954e95cb013097
genomic_resource_original.yaml 1016.0 B 256f61b0ebbfc36d04013d8acedc7aa8
statistics/