Back to main page

Resource

Id DNase-seq/ENCSR333BUP
Type position_score
Version 0
Summary
Description
Labels
  • reference_genome: hg38/genomes/GRCh38-hg38
  • accession: ENCSR333BUP
  • status: released
  • assay_term_name: DNase-seq
  • simple_biosample_summary: female adult (86 years) with Cognitive impairment
  • biosample_summary: Homo sapiens with Cognitive impairment; head of caudate nucleus tissue female adult (86 years)
  • replication_type: unreplicated
  • biosample_ontology: /biosample-types/tissue_UBERON_0002626/
  • perturbed: False
  • doi: 10.17989/ENCSR333BUP
  • date_created: 2020-05-28T00:56:22.790146+00:00
  • date_released: 2020-09-28
  • submitter_comment:

Scores

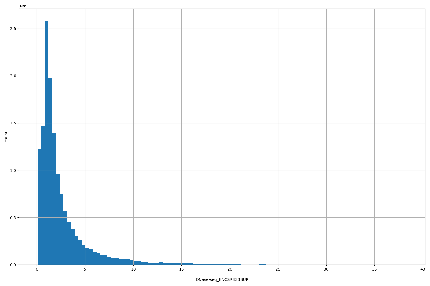
ID Type Default annotation Description Histogram Range
DNase-seq_ENCSR333BUP float

DNase-seq_ENCSR333BUP

DNase-seq ENCSR333BUP [biosample_summary="Homo sapiens with Cognitive impairment; head of caudate nucleus tissue female adult (86 years)"]
HISTOGRAM FOR DNase-seq_ENCSR333BUP [0.0714, 38.3]

Files

Filename Size md5
ENCFF132JHR.bed.gz 895.5 KB 0484f80d491bf41b799635c80b02d002
ENCFF132JHR.bed.gz.dvc 100.0 B 86371362a9b2d6a138f3315eecf76e39
ENCFF132JHR.tabix.bed.gz 809.74 KB 594f47126cb17fe3770c1f9eb427d950
ENCFF132JHR.tabix.bed.gz.dvc 106.0 B 165d2db85cc1b5cbcd4b81d48c11b274
ENCFF132JHR.tabix.bed.gz.tbi 353.67 KB 3872ce0f35b425c53b85c99964bb6420
ENCFF132JHR.tabix.bed.gz.tbi.dvc 110.0 B c713ceee49b0742c2c5b870c574d35b3
genomic_resource.yaml 1.39 KB c632f0941fdbc49eaef8fd8870e67fdc
genomic_resource_original.yaml 1.25 KB 47749875d99e95a51544d9d6cac7e2cb
statistics/