Back to main page

Resource

Id DNase-seq/ENCSR274XTS
Type position_score
Version 0
Summary
Description
Labels
  • reference_genome: hg38/genomes/GRCh38-hg38
  • accession: ENCSR274XTS
  • status: released
  • assay_term_name: DNase-seq
  • simple_biosample_summary: male adult (38 years) treated with anti-CD3 and anti-CD28 coated beads for 48 hours, 50 U/mL Interleukin-2 for 48 hours
  • biosample_summary: Homo sapiens activated CD8-positive, alpha-beta memory T cell male adult (38 years) treated with anti-CD3 and anti-CD28 coated beads for 48 hours, 50 U/mL Interleukin-2 for 48 hours
  • replication_type: unreplicated
  • biosample_ontology: /biosample-types/primary_cell_NTR_0000504/
  • perturbed: False
  • doi: 10.17989/ENCSR274XTS
  • date_created: 2020-04-19T18:37:00.505746+00:00
  • date_released: 2020-09-28
  • submitter_comment:

Scores

ID Type Default annotation Description Histogram Range
DNase-seq_ENCSR274XTS float

DNase-seq_ENCSR274XTS

DNase-seq ENCSR274XTS [biosample_summary="Homo sapiens activated CD8-positive, alpha-beta memory T cell male adult (38 years) treated with anti-CD3 and anti-CD28 coated beads for 48 hours, 50 U/mL Interleukin-2 for 48 hours"]
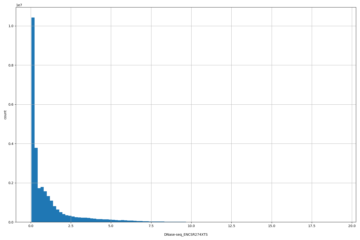
HISTOGRAM FOR DNase-seq_ENCSR274XTS [0.0446, 19.3]

Files

Filename Size md5
ENCFF992PUZ.bed.gz 1.27 MB 5e70e91ff926dececd2361da7c78a931
ENCFF992PUZ.bed.gz.dvc 101.0 B 5b9475f29ed850e968a6b0cb7a1660cd
ENCFF992PUZ.tabix.bed.gz 1.2 MB f626bb39757d7304249e50a8433dfa37
ENCFF992PUZ.tabix.bed.gz.dvc 107.0 B 8ae1ae66f0b782b84b3159066eb6ce9e
ENCFF992PUZ.tabix.bed.gz.tbi 268.86 KB 511b08ddd36983b256e6a0108a1f735a
ENCFF992PUZ.tabix.bed.gz.tbi.dvc 110.0 B 31922a7efa30771cdccaf103e872c207
genomic_resource.yaml 1.8 KB f418d2fc4b00724703117cdac4ca6087
genomic_resource_original.yaml 1.58 KB 6e0b4bcb437e64da103d73eca9f501c3
statistics/