Back to main page

Resource

Id DNase-seq/ENCSR265TEK
Type position_score
Version 0
Summary
Description
Labels
  • reference_genome: hg38/genomes/GRCh38-hg38
  • accession: ENCSR265TEK
  • status: released
  • assay_term_name: DNase-seq
  • simple_biosample_summary:
  • biosample_summary: Homo sapiens NCI-H226
  • replication_type: isogenic
  • biosample_ontology: /biosample-types/cell_line_EFO_0002285/
  • perturbed: False
  • doi: 10.17989/ENCSR265TEK
  • date_created: 2015-03-22T21:31:46.588304+00:00
  • date_released: 2015-11-05
  • submitter_comment:

Scores

ID Type Default annotation Description Histogram Range
DNase-seq_ENCSR265TEK float

DNase-seq_ENCSR265TEK

DNase-seq ENCSR265TEK [biosample_summary="Homo sapiens NCI-H226"]
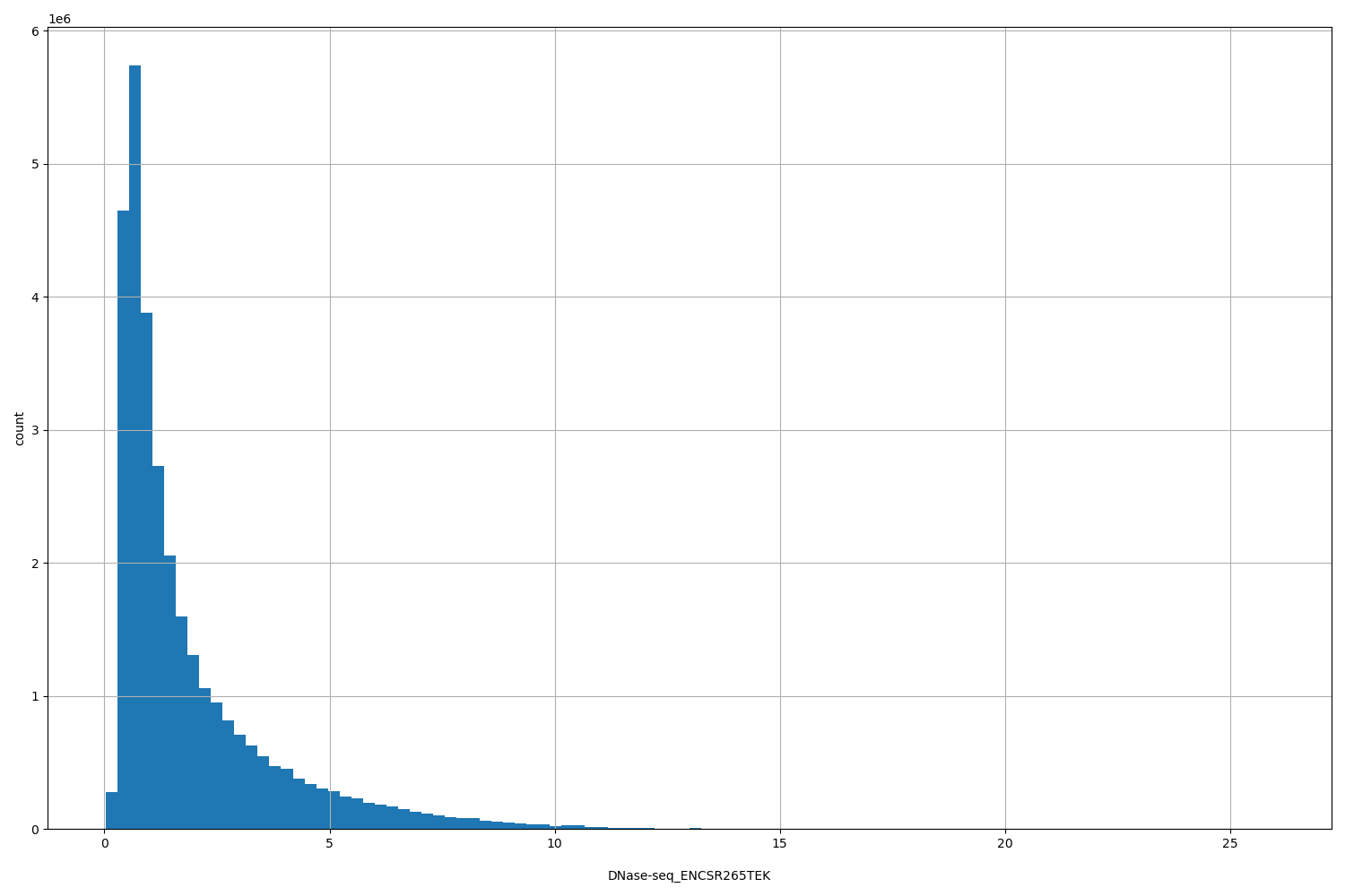
HISTOGRAM FOR DNase-seq_ENCSR265TEK [0.0346, 26]

Files

Filename Size md5
ENCFF933CVK.bed.gz 1.8 MB a71cce48a519780698221c539815d0f7
ENCFF933CVK.bed.gz.dvc 101.0 B 3463f601e87f4b463aa8a43a5b19c3ac
ENCFF933CVK.tabix.bed.gz 1.63 MB 307b01997142919e8c1ddea50bdd3be7
ENCFF933CVK.tabix.bed.gz.dvc 107.0 B 281ebe9561a1ad56d6781a11bd5a9ddf
ENCFF933CVK.tabix.bed.gz.tbi 567.08 KB 2b9545eb476530addc14719befb77617
ENCFF933CVK.tabix.bed.gz.tbi.dvc 110.0 B 653830bf897f9c44519065c8f824f39b
genomic_resource.yaml 1.07 KB 1d07ce7ea59157fe390d31dae7c60014
genomic_resource_original.yaml 1.0 KB c3c2fa54e971aab46b67ffdd4c43df2e
statistics/