Back to main page

Resource

Id DNase-seq/ENCSR257BGZ
Type position_score
Version 0
Summary
Description
Labels
  • reference_genome: hg38/genomes/GRCh38-hg38
  • accession: ENCSR257BGZ
  • status: released
  • assay_term_name: DNase-seq
  • simple_biosample_summary:
  • biosample_summary: Homo sapiens ACHN
  • replication_type: isogenic
  • biosample_ontology: /biosample-types/cell_line_EFO_0002108/
  • perturbed: False
  • doi: 10.17989/ENCSR257BGZ
  • date_created: 2015-03-22T21:31:31.275580+00:00
  • date_released: 2015-08-31
  • submitter_comment:

Scores

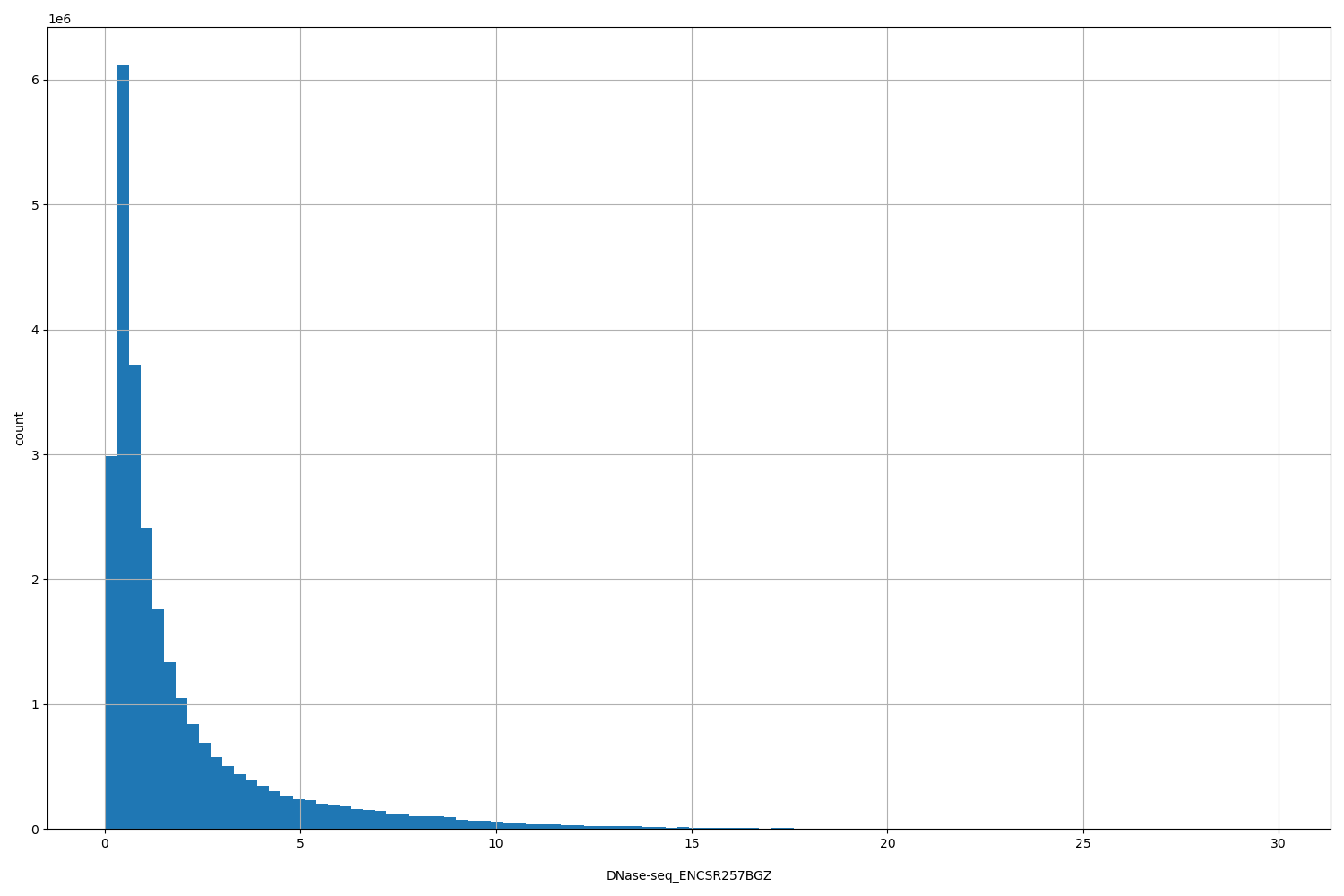
ID Type Default annotation Description Histogram Range
DNase-seq_ENCSR257BGZ float

DNase-seq_ENCSR257BGZ

DNase-seq ENCSR257BGZ [biosample_summary="Homo sapiens ACHN"]
HISTOGRAM FOR DNase-seq_ENCSR257BGZ [0.0365, 29.8]

Files

Filename Size md5
ENCFF777XHM.bed.gz 1.53 MB 6379b64014c7bba32572b046eee12ae6
ENCFF777XHM.bed.gz.dvc 101.0 B fca9fd9fcfea5a2ac60973a937644bb2
ENCFF777XHM.tabix.bed.gz 1.4 MB ec6b2464f36a27cf918963fa306b9000
ENCFF777XHM.tabix.bed.gz.dvc 107.0 B 7f06de790ec6e31e76b05ec513c6e481
ENCFF777XHM.tabix.bed.gz.tbi 504.91 KB 24721aabdd7a03d42e7f064a9f99c655
ENCFF777XHM.tabix.bed.gz.tbi.dvc 110.0 B 97a0a6b1f19c873a3084382f21d70fbd
genomic_resource.yaml 1.06 KB e92d807d603decaf3411a6599c08bb38
genomic_resource_original.yaml 1018.0 B 3a5ae984f7b959c001b0587f3b461ff3
statistics/