Back to main page

Resource

Id DNase-seq/ENCSR149XIL
Type position_score
Version 0
Summary
Description
Labels
  • reference_genome: hg38/genomes/GRCh38-hg38
  • accession: ENCSR149XIL
  • status: released
  • assay_term_name: DNase-seq
  • simple_biosample_summary:
  • biosample_summary: Homo sapiens HepG2
  • replication_type: isogenic
  • biosample_ontology: /biosample-types/cell_line_EFO_0001187/
  • perturbed: False
  • doi: 10.17989/ENCSR149XIL
  • date_created: 2014-06-20T22:06:24.702086+00:00
  • date_released: 2015-08-18
  • submitter_comment:

Scores

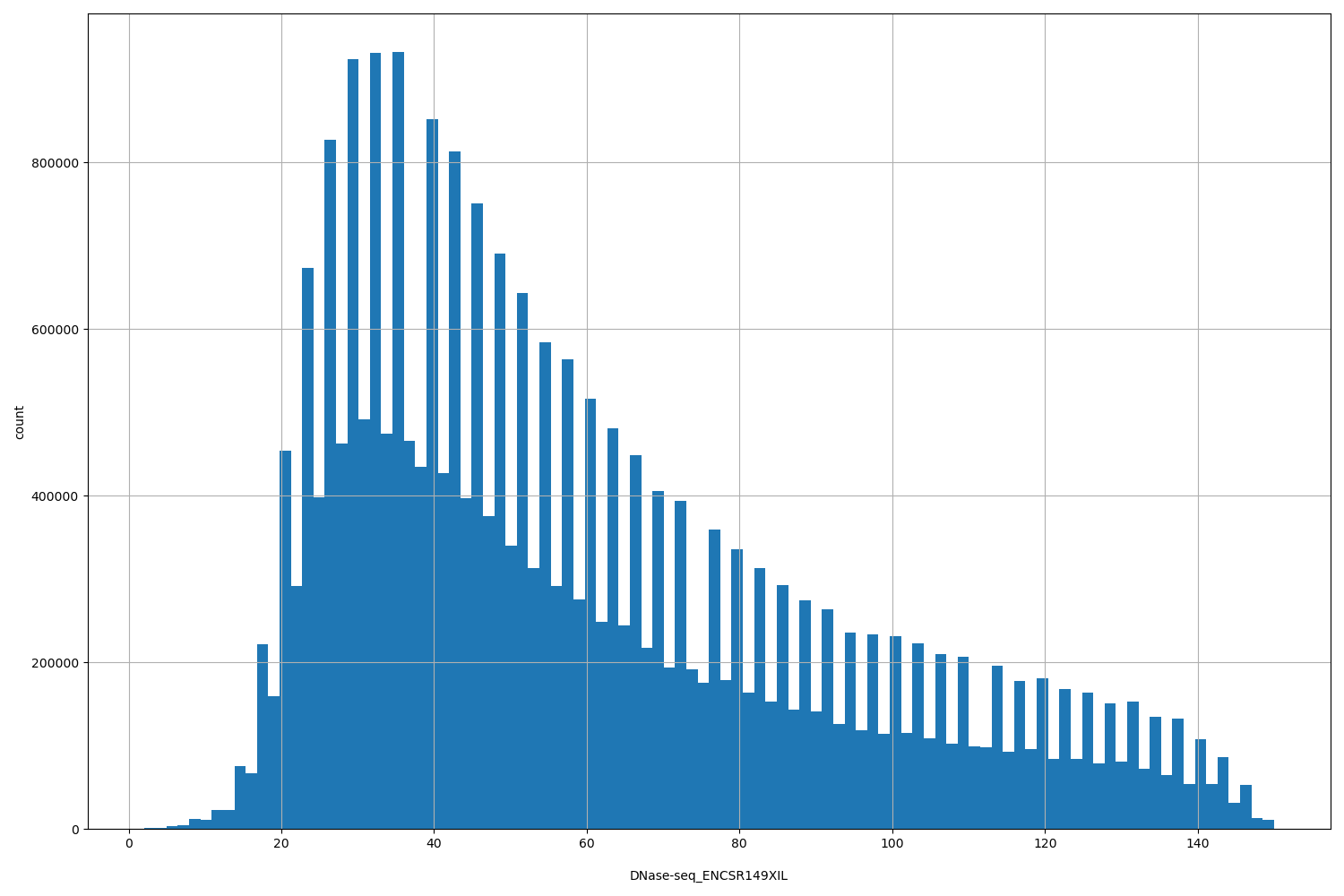
ID Type Default annotation Description Histogram Range
DNase-seq_ENCSR149XIL float

DNase-seq_ENCSR149XIL

DNase-seq ENCSR149XIL [biosample_summary="Homo sapiens HepG2"]
HISTOGRAM FOR DNase-seq_ENCSR149XIL [2, 150]

Files

Filename Size md5
ENCFF268DTI.bed.gz 1.6 MB d1e29bfd50534a41e8224bc4da2789a4
ENCFF268DTI.bed.gz.dvc 101.0 B 4328071990083b1c045efcecf9b76f53
ENCFF268DTI.tabix.bed.gz 1.46 MB 9983649849ba115f0f8e4562024e868d
ENCFF268DTI.tabix.bed.gz.dvc 107.0 B 21d273d4a7778486151a06f8ef444868
ENCFF268DTI.tabix.bed.gz.tbi 572.95 KB d1a5c68b8a129e3866fc7d2eae2c9880
ENCFF268DTI.tabix.bed.gz.tbi.dvc 110.0 B 2927b25340765081021fd8e9bf443493
genomic_resource.yaml 1.06 KB 3956a0da62bdb079f021eaf5918fc426
genomic_resource_original.yaml 1020.0 B 75b67f53611e4f942d745d1a4ab1dfdc
statistics/