Back to main page

Resource

Id DNase-seq/ENCSR042DVU
Type position_score
Version 0
Summary
Description
Labels
  • reference_genome: hg38/genomes/GRCh38-hg38
  • accession: ENCSR042DVU
  • status: released
  • assay_term_name: DNase-seq
  • simple_biosample_summary: female adult (74 years) with Alzheimer's disease
  • biosample_summary: Homo sapiens with Alzheimer's disease; head of caudate nucleus tissue female adult (74 years)
  • replication_type: unreplicated
  • biosample_ontology: /biosample-types/tissue_UBERON_0002626/
  • perturbed: False
  • doi: 10.17989/ENCSR042DVU
  • date_created: 2021-08-23T17:03:31.057809+00:00
  • date_released: 2021-08-31
  • submitter_comment:

Scores

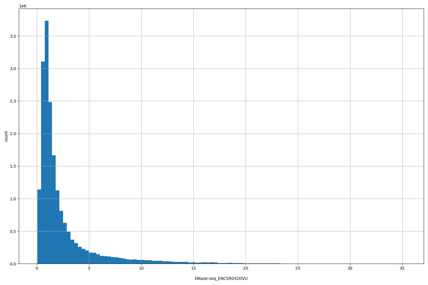
ID Type Default annotation Description Histogram Range
DNase-seq_ENCSR042DVU float

DNase-seq_ENCSR042DVU

DNase-seq ENCSR042DVU [biosample_summary="Homo sapiens with Alzheimer''s disease; head of caudate nucleus tissue female adult (74 years)"]
HISTOGRAM FOR DNase-seq_ENCSR042DVU [0.0529, 35.3]

Files

Filename Size md5
ENCFF988WLS.bed.gz 1.15 MB a812dd43ddb1fcb6f7c97e87c6aca0bb
ENCFF988WLS.bed.gz.dvc 101.0 B 8d4c8d023e5cc43934b833f29d3973a8
ENCFF988WLS.tabix.bed.gz 1.05 MB 9b6a8165544e28a7842c7008af60dc4e
ENCFF988WLS.tabix.bed.gz.dvc 107.0 B 7ec6103dd6f7ea588267f488e368a219
ENCFF988WLS.tabix.bed.gz.tbi 430.59 KB b781c39904fdedee91df968ad310fc3a
ENCFF988WLS.tabix.bed.gz.tbi.dvc 110.0 B 0c8eb31f25c2a1cf47b97c4e0384c009
genomic_resource.yaml 1.4 KB b027c42be20726d11c67a6b38bf74e82
genomic_resource_original.yaml 1.25 KB 6446b5804336610bb671a62bec95dc60
statistics/