Back to main page

Resource

Id DNase-seq/ENCSR006IMH
Type position_score
Version 0
Summary
Description
Labels
  • reference_genome: hg38/genomes/GRCh38-hg38
  • accession: ENCSR006IMH
  • status: released
  • assay_term_name: DNase-seq
  • simple_biosample_summary: female adult (53 years)
  • biosample_summary: Homo sapiens stomach tissue female adult (53 years)
  • replication_type: unreplicated
  • biosample_ontology: /biosample-types/tissue_UBERON_0000945/
  • perturbed: False
  • doi: 10.17989/ENCSR006IMH
  • date_created: 2019-08-18T16:57:12.178711+00:00
  • date_released: 2019-11-08
  • submitter_comment:

Scores

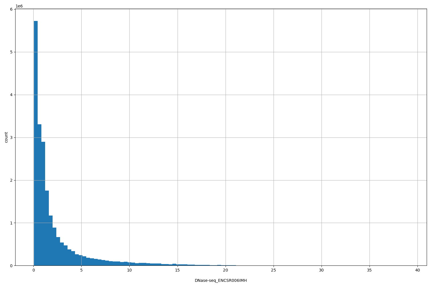
ID Type Default annotation Description Histogram Range
DNase-seq_ENCSR006IMH float

DNase-seq_ENCSR006IMH

DNase-seq ENCSR006IMH [biosample_summary="Homo sapiens stomach tissue female adult (53 years)"]
HISTOGRAM FOR DNase-seq_ENCSR006IMH [0.0549, 39]

Files

Filename Size md5
ENCFF731YGM.bed.gz 1.25 MB f6127b496a7f6ae5640162123ecde773
ENCFF731YGM.bed.gz.dvc 101.0 B 282b68b6dd9a06db5989d1cc0799cb26
ENCFF731YGM.tabix.bed.gz 1.13 MB 4fc552ad4b46beb93fff74a6d4365bd5
ENCFF731YGM.tabix.bed.gz.dvc 107.0 B a6d15142b9647d4ff9b95600c8caad92
ENCFF731YGM.tabix.bed.gz.tbi 362.17 KB d006262de888fd2b019b283bbe8afc25
ENCFF731YGM.tabix.bed.gz.tbi.dvc 110.0 B 303d9694fe4f15d29cb4a7ac237a96c3
genomic_resource.yaml 1.21 KB 407607278cd602dc1d29e0f13ce32efd
genomic_resource_original.yaml 1.11 KB f9427f8dbe0ddf3a924a94c1466918ec
statistics/