| Id | DNase-seq/ENCSR000EPD |
|---|---|
| Type | position_score |
| Version | 0 |
| Summary |
DNase-seq ENCSR000EPD [biosample_summary="Homo sapiens myocyte originated from LHCN-M2"]
|
| Description |
status: released biological_replicates: Rep 2 summary: male adult (41 years) output_type: peaks audit_warning: Alignment file {ENCFF364GRM|/files/ENCFF364GRM/} processed by DNase-seq ENCODE4 v3.0.0-alpha.2 GRCh38 pipeline ( {ENCPL848KLD|/pipelines/ENCPL848KLD/} ) for GRCh38 assembly has 37199149 mapped reads. According to ENCODE standards, conventional DNase-seq profile requires a minimum of 20 million uniquely mapped reads to generate a reliable SPOT (Signal Portion of Tags) score. The recommended value is > 50 million. For deep, foot-printing depth DNase-seq 150-200 million uniquely mapped reads are recommended. (See {ENCODE DNase-seq data standards|/data-standards/dnase-seq-encode4/}) |
| Labels |
|
| ID | Type | Default annotation | Description | Histogram | Range |
|---|---|---|---|---|---|
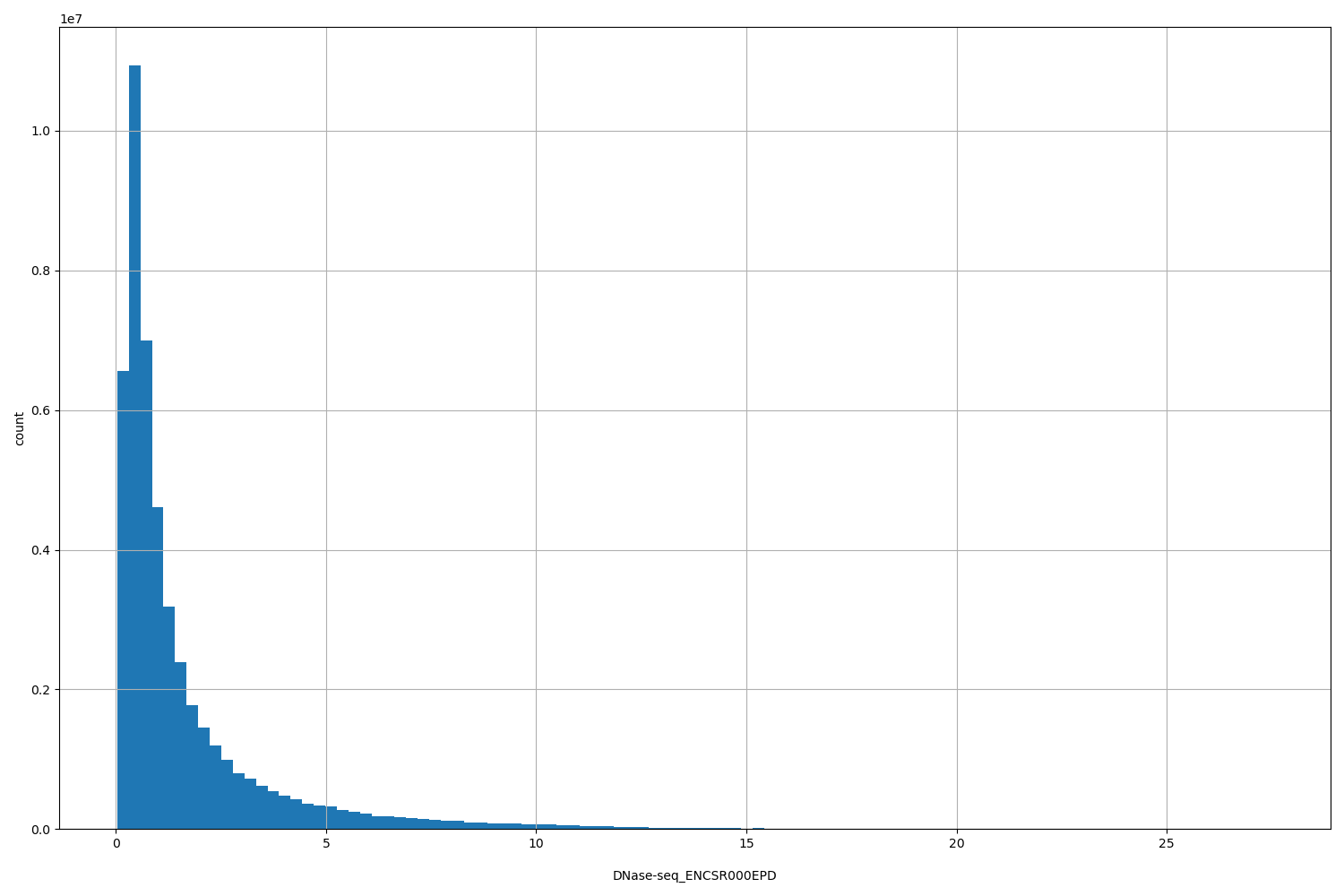
| DNase-seq_ENCSR000EPD | float |
DNase-seq_ENCSR000EPD |
DNase-seq ENCSR000EPD [biosample_summary="Homo sapiens myocyte originated from LHCN-M2"]
|
![]() |
[0.0331, 27.5] |
| Filename | Size | md5 |
|---|---|---|
| ENCFF097CRX.bed.gz | 2.56 MB | a4a4734f5e1a8c7f9435212a879fcc83 |
| ENCFF097CRX.bed.gz.dvc | 101.0 B | ad156489cc1f0573c58a7fada6f4b60e |
| ENCFF097CRX.tabix.bed.gz | 2.34 MB | 979c8353c0e29546d140796efa47dda1 |
| ENCFF097CRX.tabix.bed.gz.dvc | 107.0 B | 400429387cf6f53395c2a439c36f72de |
| ENCFF097CRX.tabix.bed.gz.tbi | 691.24 KB | 535c2337733afdb85f24fdc3e8537cf6 |
| ENCFF097CRX.tabix.bed.gz.tbi.dvc | 110.0 B | e550420f43056b14cd84f99216646003 |
| genomic_resource.yaml | 1.82 KB | a73243c1b051bedf8355684d2241dbc6 |
| genomic_resource_original.yaml | 1.72 KB | 58d151cb9d23f905cba52394f63af0b7 |
| statistics/ |