| Id | ATAC-seq/ENCSR032RGS |
|---|---|
| Type | position_score |
| Version | 0 |
| Summary |
ATAC-seq ENCSR032RGS [biosample_summary="Homo sapiens A549"]
|
| Description |
status: released biological_replicates: Rep 1, Rep 2, Rep 3 summary: output_type: pseudoreplicated peaks audit_internal_action: Released analysis {ENCAN065GGH|/analyses/ENCAN065GGH/} has in progress subobject quality standard {encode4-atac-seq|/quality-standards/encode4-atac-seq/} audit_warning: NRF (Non Redundant Fraction) is equal to the result of the division of the number of reads after duplicates removal by the total number of reads. An NRF value < 0.7 is poor complexity, between 0.7 and 0.9 is moderate complexity, and >= 0.9 high complexity. NRF value > 0.9 is recommended, but > 0.7 is acceptable. ENCODE processed file {ENCFF607DTB|/files/ENCFF607DTB/} processed by ATAC-seq ENCODE4 v1.9.1 GRCh38 pipeline was generated from a library with NRF value of 0.865913. audit_warning: PBC1 (PCR Bottlenecking Coefficient 1, M1/M_distinct) is the ratio of the number of genomic locations where exactly one read maps uniquely (M1) to the number of genomic locations where some reads map (M_distinct). A PBC1 value in the range 0 - 0.5 is severe bottlenecking, 0.5 - 0.8 is moderate bottlenecking, 0.8 - 0.9 is mild bottlenecking, and > 0.9 is no bottlenecking. PBC1 value > 0.9 is recommended, but > 0.7 is acceptable. ENCODE processed file {ENCFF607DTB|/files/ENCFF607DTB/} processed by ATAC-seq ENCODE4 v1.9.1 GRCh38 pipeline was generated from a library with a PBC1 value of 0.87. audit_warning: NRF (Non Redundant Fraction) is equal to the result of the division of the number of reads after duplicates removal by the total number of reads. An NRF value < 0.7 is poor complexity, between 0.7 and 0.9 is moderate complexity, and >= 0.9 high complexity. NRF value > 0.9 is recommended, but > 0.7 is acceptable. ENCODE processed file {ENCFF701BDT|/files/ENCFF701BDT/} processed by ATAC-seq ENCODE4 v1.9.1 GRCh38 pipeline was generated from a library with NRF value of 0.857486. audit_warning: PBC1 (PCR Bottlenecking Coefficient 1, M1/M_distinct) is the ratio of the number of genomic locations where exactly one read maps uniquely (M1) to the number of genomic locations where some reads map (M_distinct). A PBC1 value in the range 0 - 0.5 is severe bottlenecking, 0.5 - 0.8 is moderate bottlenecking, 0.8 - 0.9 is mild bottlenecking, and > 0.9 is no bottlenecking. PBC1 value > 0.9 is recommended, but > 0.7 is acceptable. ENCODE processed file {ENCFF701BDT|/files/ENCFF701BDT/} processed by ATAC-seq ENCODE4 v1.9.1 GRCh38 pipeline was generated from a library with a PBC1 value of 0.87. audit_warning: NRF (Non Redundant Fraction) is equal to the result of the division of the number of reads after duplicates removal by the total number of reads. An NRF value < 0.7 is poor complexity, between 0.7 and 0.9 is moderate complexity, and >= 0.9 high complexity. NRF value > 0.9 is recommended, but > 0.7 is acceptable. ENCODE processed file {ENCFF616DYV|/files/ENCFF616DYV/} processed by ATAC-seq ENCODE4 v1.9.1 GRCh38 pipeline was generated from a library with NRF value of 0.844336. audit_warning: PBC1 (PCR Bottlenecking Coefficient 1, M1/M_distinct) is the ratio of the number of genomic locations where exactly one read maps uniquely (M1) to the number of genomic locations where some reads map (M_distinct). A PBC1 value in the range 0 - 0.5 is severe bottlenecking, 0.5 - 0.8 is moderate bottlenecking, 0.8 - 0.9 is mild bottlenecking, and > 0.9 is no bottlenecking. PBC1 value > 0.9 is recommended, but > 0.7 is acceptable. ENCODE processed file {ENCFF616DYV|/files/ENCFF616DYV/} processed by ATAC-seq ENCODE4 v1.9.1 GRCh38 pipeline was generated from a library with a PBC1 value of 0.86. |
| Labels |
|
| ID | Type | Default annotation | Description | Histogram | Range |
|---|---|---|---|---|---|
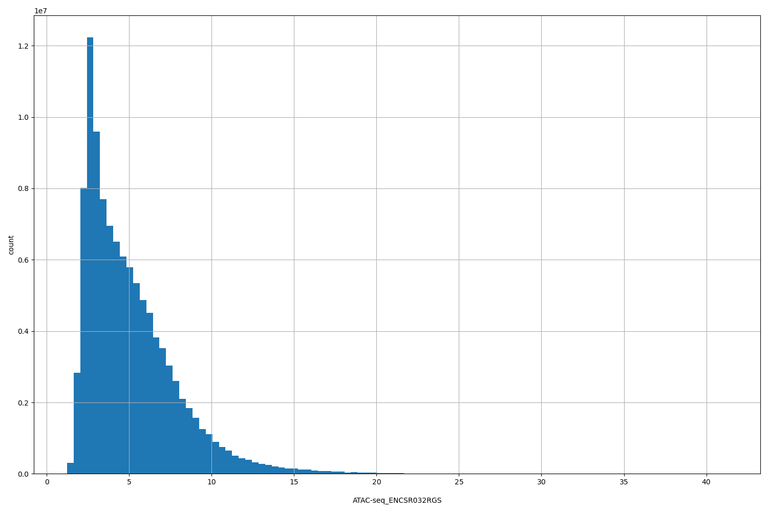
| ATAC-seq_ENCSR032RGS | float |
ATAC-seq_ENCSR032RGS |
ATAC-seq ENCSR032RGS [biosample_summary="Homo sapiens A549"]
|
![]() |
[1.23, 41.3] |
| Filename | Size | md5 |
|---|---|---|
| ENCFF899OMR.bed.gz | 6.82 MB | feed36997c097111e6dd09cd4c29109c |
| ENCFF899OMR.bed.gz.dvc | 101.0 B | 2d46c5ccb85cf088cb99be92b64cdcf4 |
| ENCFF899OMR.tabix.bed.gz | 1.56 MB | 820138e9ab7bc7024e443fb55dbcb604 |
| ENCFF899OMR.tabix.bed.gz.dvc | 107.0 B | 71e5cd44bb6284a8a8602aabddb05285 |
| ENCFF899OMR.tabix.bed.gz.tbi | 453.25 KB | 3551ca18ab85ea728fced3f8181cd75a |
| ENCFF899OMR.tabix.bed.gz.tbi.dvc | 110.0 B | 4c9c3fe5d022621a9138d2da2711515f |
| genomic_resource.yaml | 4.88 KB | 917dce350603f066b6d434df1fa246d1 |
| genomic_resource_original.yaml | 4.82 KB | 3b148aba04bc0083818677b551e0e22e |
| statistics/ |